Bạn thường nghe về gia tốc nhưng không biết rõ gia tốc là gì và ứng dụng của gia tốc trong cuộc sống hàng ngày. Bài viết sau đây sẽ giải đáp thắc mắc của bạn về khái niệm, phân loại cũng như cách quy đổi gia tốc ra các đơn vị khác.
Ảnh thumb 800×450
I. Gia tốc là gì?
1. Khái niệm
Theo chương trình vật lý phổ thông định nghĩa, gia tốc là đại lượng vật lý đặc trưng cho sự thay đổi của vận tốc theo thời gian. Giống với vận tốc, gia tốc cũng là một đại lượng véc-tơ (có hướng), hướng của gia tốc được xác định bởi hướng của lực tác dụng lên vật. Dựa vào giá trị và hướng của gia tốc, ta có thể đánh giá được tốc độ nhanh, chậm hay không đổi của 1 vật thể. Thứ nguyên của gia tốc là độ dài trên bình phương thời gian.
Để hiểu hơn về khái niệm gia tốc, bạn hãy tưởng tượng bạn đang chạy xe trên đường, trên thực tế thì bạn không thể nào chạy với cùng một tốc độ trong một khoảng thời gian nhất định, tùy lúc mà vận tốc sẽ nhanh hay chậm hơn ban đầu. Sự chênh lệch giữa vận tốc trên một khoảng thời gian chính là gia tốc.
2. Đơn vị gia tốc
Theo hệ đơn vị quốc tế SI, gia tốc thường có đơn vị là m/s2.
3. Phân biệt Vận tốc và Gia tốc
Vận tốc là quãng đường vật di chuyển được trong một đơn vị thời gian, thường có đơn vị là m/s. Còn Gia tốc là đại lượng đặc trưng cho sự thay đổi của vận tốc theo thời gian, thường có đơn vị là m/s2.
Ngoài ra, bạn cũng có thể dựa vào 3 yếu tố dưới đây để phân biệt chúng:
- Muốn sinh ra gia tốc, bạn cần tác dụng 1 lực thuần lên vật, đối với vận tốc thì không cần
- Mọi vật thay đổi vận tốc trong một khoảng thời gian đều sinh ra gia tốc; trong khi mọi vật có vận tốc thì không nhất thiết có gia tốc (vật chuyển động đều)
- Muốn sinh ra gia tốc, bạn cần phải thay đổi độ lớn hoặc hướng của vận tốc
II. Công thức tính gia tốc
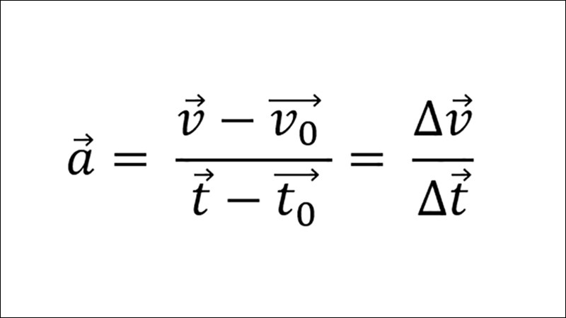
1. Công thức chung
vector a = (v – v0)/(t – t0) = Δ vector v/ Δt

Công thức chung
Trong đó:
- a: gia tốc (m/s2)
- v0: vận tốc tức thời tại thời điểm t0 (m/s)
- v: vận tốc tức thời tại thời điểm t (m/s)
- t, t0: thời điểm khi vật có vận tốc v, v0 (s)
- Δt : Khoảng thời gian vật thay đổi vận tốc từ v0 sang v (s)
- Δv : Sự biến thiên của vận tốc tức thời trong khoảng Δt (m/s)
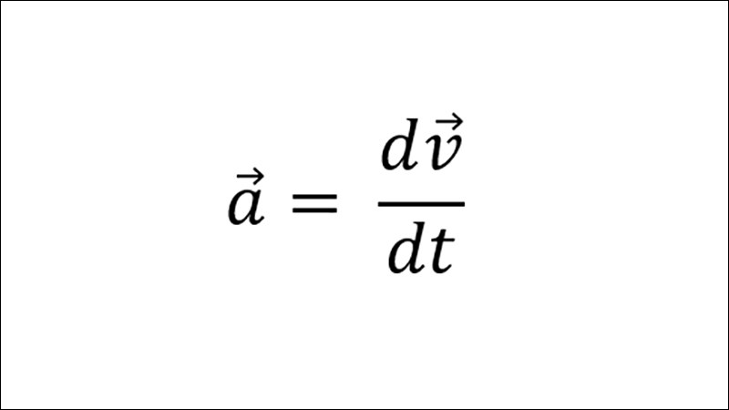
2. Gia tốc tức thời
Gia tốc thức thời của 1 vật tại 1 thời điểm biểu diễn sự thay đổi vận tốc của vật trong một khoảng thời gian rất ngắn. Được tính bằng công thức như sau:
vector a = d vector v/dt

Gia tốc tức thời
Trong đó:
- a: gia tốc tức thời (m/s2)
- v: vận tốc (m/s)
- t: thời gian (s)
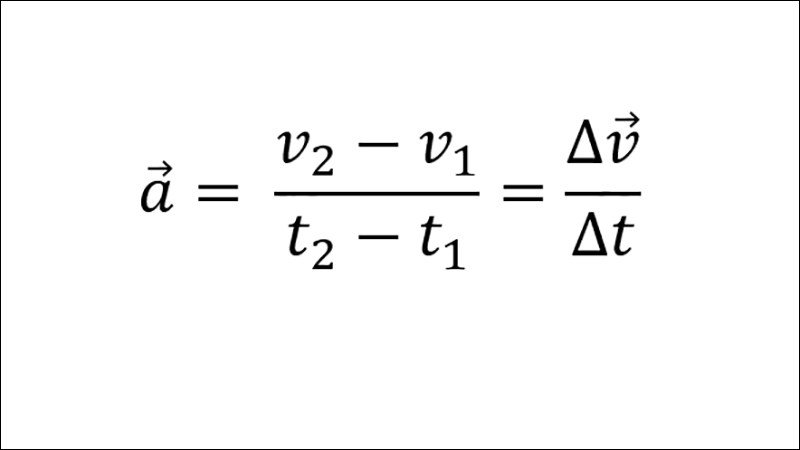
3. Gia tốc trung bình
Gia tốc trung bình của 1 vật là sự chênh lệch giữa vận tốc của vật trong 1 khoảng thời gian xác định, hoặc có thể hiểu là đạo hàm của vận tốc theo thời gian, và là đạo hàm bậc hai của vị trí chất điểm theo thời gian. Gia tốc trung bình được tính bằng cách lấy vận tốc sau trừ vận tốc đầu rồi chia cho khoảng thời gian giữa 2 thời điểm đó:
vector atb = (v2 – v1)/(t2 – t1) = Δ vector v/ Δt

Gia tốc trung bình
Trong đó:
- atb: gia tốc trung bình (m/s2)
- v1: Vận tốc của vật thể tại thời điểm t1 (m/s)
- v2: Vận tốc của vật thể tại thời điểm t2 (m/s)
- Δv: Sự thay đổi của vận tốc (m/s)
- Δt: thời gian để vật thay đổi vận tốc từ v1 sang v2 (s)
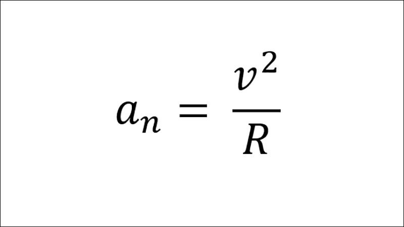
4. Gia tốc pháp tuyến
Gia tốc pháp tuyến là đại lượng đặc trưng cho sự thay đổi về phương của vận tốc. Gia tốc pháp tuyến có phương vuông góc với tiếp tuyến quỹ đạo và có chiều hướng về vùng lõm của quỹ đạo:
an = v2/R

Gia tốc pháp tuyến
Trong đó:
- an: gia tốc pháp tuyến (m/s2)
- v: vận tốc tức thời (m/s)
- R: độ dài bán kính cong (m)
5. Gia tốc tiếp tuyến
Gia tốc tiếp tuyến biểu diễn sự thay đổi về độ lớn của vector vận tốc. Gia tốc tiếp tuyến có phương trùng với phương của tiếp tuyến quỹ đạo và cùng chiều với vật khi vật chuyển động nhanh dần, và ngược chiều với vật khi vật chuyển động chậm dần. Gia tốc tiếp tuyến được tính như sau:
at = dv/dt

Gia tốc tiếp tuyến
Trong đó:
- at: gia tốc tiếp tuyến (m/s2)
- v: vận tốc tức thời (m/s)
- t: thời gian (s)
6. Gia tốc toàn phần
Gia tốc toàn phần cho ta biết sự thay đổi về độ lớn lẫn chiều chuyển động của vector vận tốc. Gia tốc toàn phần bằng tổng gia tốc pháp tuyến và gia tốc tiếp tuyến:
vector atp = vector at + vector an

Gia tốc toàn phần
Trong đó:
- atp: gia tốc toàn phần
- at: gia tốc tiếp tuyến
- an: gia tốc pháp tuyến
7. Gia tốc trọng trường
Ngoài các loại gia tốc trên thì còn có gia tốc trọng trường, một loại gia tốc được tạo ra bởi sự tác động của lực hút của Trái Đất lên các vật tồn tại trên bề mặt của nó. Trong chương trình vật lý phổ thông, người ta thường quy định g=9,8m/s2 hoặc g=10m/s2 để thuận tiện trong việc tính toán.
Trên thực tế, tại mỗi độ cao khác nhau, ta sẽ nhận được một giá trị gia tốc trọng trường dao động trong khoảng 9,78-9,83 m/s2.
Vật cách mặt đất 1 khoảng bằng h: g = G.M/(R + h)2
Vật ở mặt đất: g0 =G.M/R2

Gia tốc trọng trường
Trong đó:
- g: gia tốc trọng trường tại độ cao h (m/s2)
- g0: gia tốc trọng trường tại mặt đất (m/s2)
- G: Hằng số hấp dẫn G = 6.674×10-11
- M: Khối lượng của Trái đất M = 5.972×1024 (kg)
- R: bán kính Trái đất R = 6731 (km)
8. Gia tốc góc
Gia tốc góc thể hiện sự biến thiên của vận tốc góc của vật chuyển động tròn theo thời gian. Gia tốc góc là khái niệm mở rộng của gia tốc để áp dụng trong chuyển động tròn.
M = I.ε

Gia tốc góc
Trong đó:
- ε: gia tốc góc (rad/s2)
- M: mômen lực
- I: mô men quán tính với trục quay của vật
III. Đổi đơn vị gia tốc m/s2
- 1 m/s2 = 3.28 Foot trên giây bình phương (ft/s²)
- 1 m/s2 = 100 Gal
- 1 m/s2 = 100,000 Milligal
- 1 m/s2 = 0.1 Trọng lực chuẩn
- 1 m/s2 = 0.1 Đơn vị-g (g)

Đổi đơn vị gia tốc
IV. Cách đổi đơn vị gia tốc bằng công cụ Convert World
Bước 1: Truy cập Convert World.
Bước 2: Tại ô tìm kiếm, bạn nhập “mét trên giây bình phương” và chọn kết quả đầu hiển thị đầu tiên.

Search “mét trên giây bình phương”
Bước 3: Bạn nhập số lượng muốn quy đổi vào ô đầu tiên (ngoài cùng bên trái), sau đó chọn đơn vị muốn quy đổi ở ô thứ 3. Ví dụ ở đây mình muốn đổi 10 m/s2 ra ft/s2.

Nhập số lượng vào ô thứ nhất và chọn đơn vị muốn quy đổi ở ô thứ ba
Bước 4: Sau đó, bạn ấn chọn ô mũi tên màu vàng.

Chọn ô mũi tên màu vàng
Kết quả quy đổi sẽ được hiển thị trên màn hình.

Kết quả quy đổi
Hi vọng bài viết đã giải đáp phần nào thắc mắc của bạn về những vấn đề liên quan đến gia tốc. Nếu thấy hữu ích, hãy chia sẻ ngay bài viết đến bạn bè và người thân và đừng quên để lại thắc mắc dưới phần bình luận nhé!
