Nguyên hàm căn x là gì?
Theo định nghĩa của nguyên hàm: “Cho hàm số f(x) xác định trên K. Hàm số F(x) được gọi là nguyên hàm của hàm số f(x) trên K nếu F'(x) = f(x) với mọi x ∈ K.”
>>> Đối với nguyên hàm căn x này phần biểu thức sẽ là những giá trị căn x, mà mọi người sẽ phải giải chúng để tìm được giá trị x.
Công thức nguyên hàm của căn x (chi tiết)
Trong các dạng toán nguyên hàm, nguyên hàm của căn thức là một dạng toán khó giải nhất. Nên dưới đây là một số công thức từ nguyên hàm căn bậc 2 của x đến nguyên hàm 1/căn x (cơ bản đến nâng cao) mà học sinh sẽ được gặp.

Các dạng bài tập về nguyên hàm căn x thường gặp
Trong toán học, sẽ có một số dạng toán cơ bản dùng để vận dùng công thức nguyên hàm căn x, kèm theo ví dụ minh họa chi tiết sau đây:
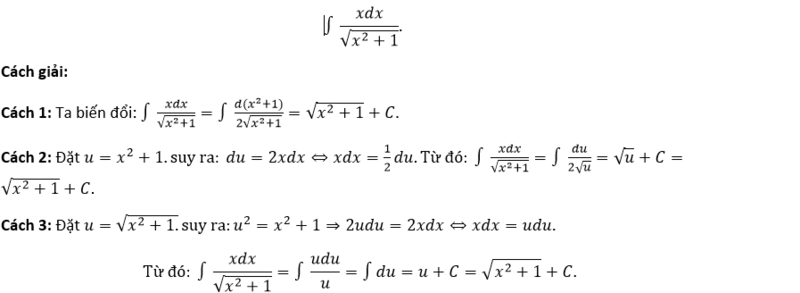
Dạng 1: Tìm nguyên hàm của hàm chứa căn thức bằng phương pháp đổi biến số
Cho hàm số u = u(x) có đạo hàm liên tục trên K và hàm số y = f(u) liên tục sao cho f[u(x)] xác định trên K. Khi đó nếu F là một nguyên hàm của f thì:
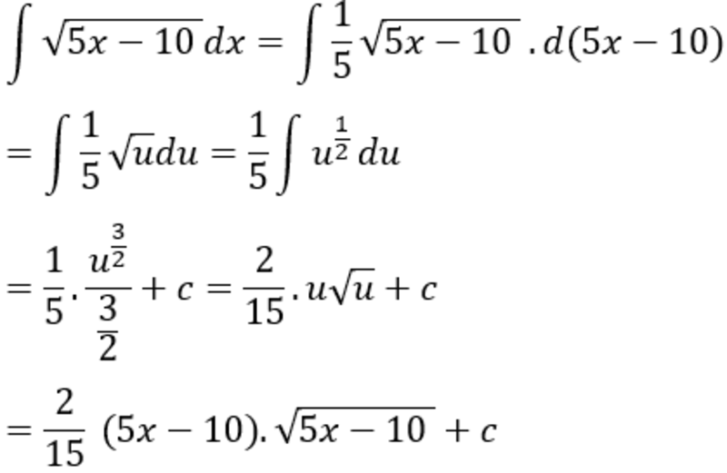
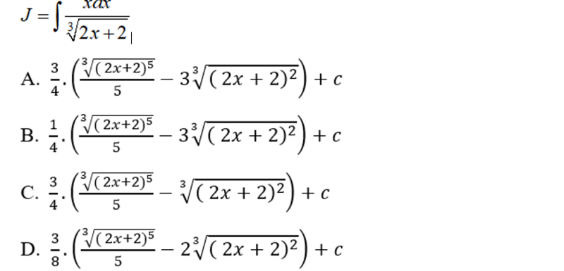
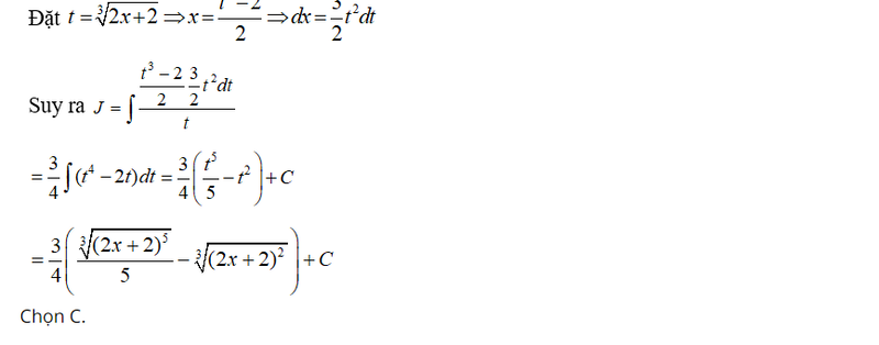
Ví dụ minh họa:
Nguyên hàm của hàm số là:
Lời giải
Ta có:
Đặt u = 5x – 10 ta được:

Chọn B.
Dạng 2: Tìm nguyên hàm các hàm số chứa căn thức (hàm số vô tỉ) dựa trên tam thức bậc hai
Trên cơ sở đưa tam thức bậc hai về dạng chính tắc và dùng các công thức sau:
Ví dụ 1: Tìm nguyên hàm các hàm số chứa căn x sau:

Dạng 3: Tìm nguyên hàm của hàm số f(x)=x – ax + a, với a > 0
Ta có thể lựa chọn một trong hai cách sau:

Các nguyên hàm I1 và I2 chúng ta đã biết cách giải.

Dạng 4: Tìm nguyên hàm của hàm số f(x)=dxax + b +ax + c
Khử tính vô tỉ ở mẫu số bằng cách trục căn thức, ta được:
Ví dụ: Tìm nguyên hàm của hàm số: f(x)=tanx+12x+1+2x-1
Dạng 5: Tìm nguyên hàm của hàm số chứa căn thức (hàm số vô tỉ) bằng cách sử dụng các đồng nhất thức
Ví dụ: Tìm nguyên hàm của hàm số: f(x)=xx+110
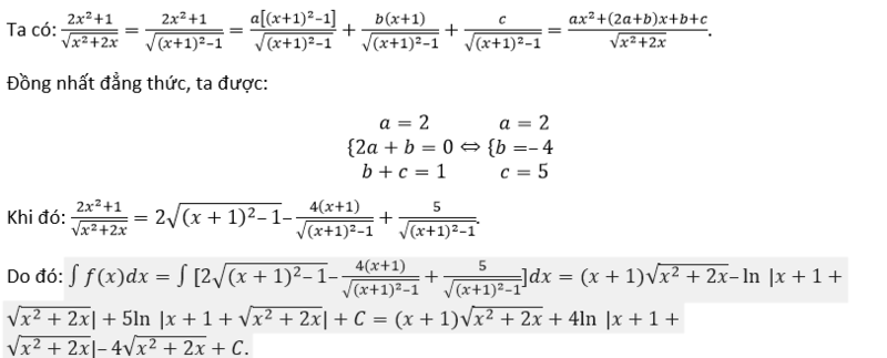
Tìm nguyên hàm của hàm số: f(x)=v(x)dxu2x ±a
Ta thực hiện theo các bước sau:
Sử dụng phương pháp hằng số bất định ta xác định được a, b, c
Bước 2: Áp dụng các công thức:
Ví dụ: Tìm nguyên hàm của hàm số f(x)=2×2+1×2+2x

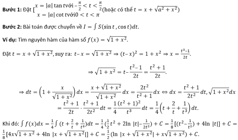
Dạng 6: Tìm nguyên hàm của hàm số: I=∫R(x,a2+x2).dx
Ta thực hiện theo các bước sau:

Dạng 7: Tìm nguyên hàm của hàm số: I=∫R(x,x2-a2).dx
Ta thực hiện theo các bước sau:

Bài tập nguyên hàm căn x tự luyện (có đáp án)
Để giúp học sinh học tập và luyện tập dạng toán nguyên hàm của căn x chi tiết hơn, dưới đây là một số dạng bài tập mà mọi người có thể tham khảo và thực hành:
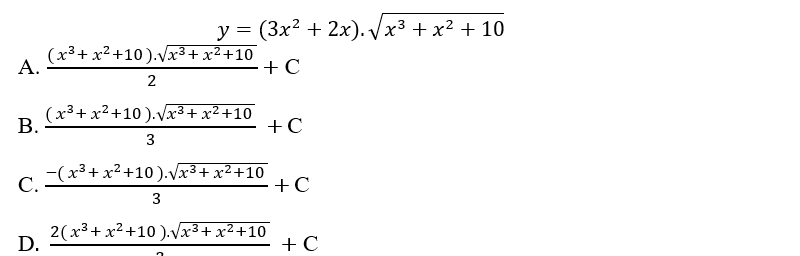
Bài tập 1: Tính nguyên hàm của hàm số sau

Lời giải:

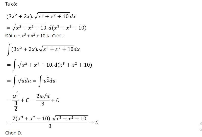
Bài tập 2: Tính nguyên hàm sau
Lời giải:

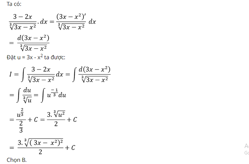
Bài tập 3: Tính

Lời giải

Bài tập 4: Tính nguyên hàm căn x của hàm số

Lời giải:

Bài tập 5 Tính

Lời giải

FAQ – Những thắc mắc khác về nguyên hàm căn x
1. Nguyên hàm có phải là ‘đảo ngược’ của đạo hàm không?
Đúng vậy. Nguyên hàm là phép toán ngược của đạo hàm. Quá trình tìm nguyên hàm được gọi là phép lấy tích phân không xác định.
2. Khi nào thì nên dùng phương pháp đổi biến để tính nguyên hàm có dấu căn?
Nên dùng phương pháp đổi biến khi biểu thức bên trong dấu căn là một hàm số phức tạp mà bạn có thể đặt nó hoặc toàn bộ dấu căn là một biến mới (u).
3. Có phải mọi hàm số có chứa căn đều có nguyên hàm không?
Có. Mọi hàm số liên tục trên một khoảng đều có nguyên hàm trên khoảng đó. Hầu hết các hàm số chứa căn mà chúng ta gặp đều liên tục trên miền xác định của chúng.
4. Tại sao khi tính nguyên hàm, chúng ta lại thêm hằng số C?
Vì khi đạo hàm, hằng số luôn bằng 0. Do đó, có vô số hàm số có cùng đạo hàm. Hằng số C đại diện cho toàn bộ họ các hàm số đó, cho thấy rằng nguyên hàm của một hàm số không phải là duy nhất.
Trên đây là tổng hợp thông tin về dạng toán nguyên hàm căn x. Đây là một dạng toán nguyên hàm khá khó, nên khi học thì mọi người cần nắm rõ công thức, các dạng toán và cách giải để có thể hoàn thành bài tập một cách chính xác nhất nhé.

![Nguyên hàm căn x là gì? Cách tính đơn giản, dễ thực hiện [Hướng dẫn chi tiết]](https://xemlicham.edu.vn/wp-content/uploads/2025/12/nguyen-ham-cua-1-tren-can-x-783x800.png)