1. Lý thuyết đạo hàm của hàm số lượng giác
1.1. Đạo hàm là gì?
-
Trong giải tích toán học, đạo hàm của một hàm số là sự mô tả sự biến thiên của hàm số tại một điểm nào đó.
-
Trong vật lý, đạo hàm sẽ biểu diễn vận tốc tức thời của cường độ dòng điện tức thời tại một điểm trên dây dẫn hoặc của một điểm chuyển động.
-
Trong hình học đạo hàm chính là hệ số góc của tiếp tuyến với đồ thị biểu diễn hàm số.
1.2. Đạo hàm của hàm số lượng giác là gì?
Đạo hàm của hàm lượng giác là phương pháp toán học tìm tốc độ biến thiên của một hàm số lượng giác theo sự biến thiên của biến số. Một số hàm số lượng giác thường gặp nhất đó là hàm: sin(x), cos(x) và tan(x).
1.3. Đạo hàm sơ cấp, đạo hàm thứ cấp

2. Bảng công thức đạo hàm của hàm số lượng giác
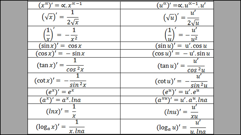
2.1. Đạo hàm của các hàm số sơ cấp cơ bản

Bảng đạo hàm các hàm số sơ cấp cơ bản
2.2. Đạo hàm của hàm số lượng giác ngược
Để tính đạo hàm của hàm lượng giác ngược và một số hàm lượng giác thông dụng khác ta có bảng công thức dưới đây:

3. Cách giải một số bài tập về đạo hàm của hàm số lượng giác
Bài 1: Tính đạo hàm của hàm số:
Giải:
Bài 2: Tính đạo hàm của hàm số: với
Bài 3:
Tính đạo hàm của hàm số
Giải:
Bài 4: Tìm đạo hàm của hàm số
Giải
Ta có :
Ngoài ra các em có thể tham khảo thêm đề về đạo hàm của hàm số lượng giác TẠI ĐÂY!
Trên đây là toàn bộ công thức đạo hàm của hàm số lượng giác kèm bài tập minh họa nhằm giúp các em hiểu rõ hơn về kiến thức đạo hàm trong phần ôn tập kiến thức toán 12. Bên cạnh đó, các em có thể truy cập vào Vuihoc.vn và đăng ký tài khoản để luyện tập thêm các công thức Toán 12 và bài tập để phục vụ ôn thi THPT Quốc Gia nhé! Chúc các em đạt kết quả cao trong kỳ thi THPT Quốc Gia 2022 sắp tới.
Tham khảo thêm:
⭐Bộ Sách Thần Tốc Luyện Đề Toán – Lý – Hóa THPT Có Giải Chi Tiết
>> Xem thêm:
- Chiếm trọn từ A đến Z kiến thức về đạo hàm hàm số mũ
- Đạo hàm logarit – Đầy đủ lý thuyết và bài tập chi tiết
- Đầy đủ lý thuyết, bài tập đạo hàm mũ và logarit
- Hiểu đúng và giải nhanh đạo hàm log x
- Vi phân
- Quy tắc tính đạo hàm
