Đạo hàm 1/x được biết đến chính là loại đạo hàm cơ bản thường gặp nhất trong toán học. Đặc biệt, đảo hàm này còn có rất nhiều dạng bài tập thường gặp khác nhau. Để giúp bạn hiểu rõ hơn về đạo hàm này, hãy đọc ngay bài viết dưới đây nhé!
Đạo hàm 1/x là gì?
Đạo hàm 1/x chính là loại đạo hàm cơ bản thường gặp phổ biến nhất hiện nay. Đạo hàm này còn là tỉ số giữa số gia tương ứng của một hàm số. Ngoài ra, đó cũng sẽ là số gia của đối số tại một điểm X0. Lúc này, giá trị tương ứng đạo hàm thể hiện chiều và độ lớn sự biến thiên của số đó. Định nghĩa của đạo hàm 1/x được hiểu là:
- Cho hàm số y = f(x) được xác định ở khoảng (a, b) nhất định. Trong đó: X0 ∈ (a, b).
- Giới hạn hữu hàm của tỉ số tương ứng là đạo hàm của hàm số tại Xο. Công thức là ƒ(X) – ƒ(Xο) ⁄ X – Xο khi X → Xο và ký hiệu là f’(Xο).
- Nếu đặt X – Xο = Δx và Δy = ƒ(Xο + Δx) – ƒ(Xο), Δx gọi là số gia của đối số tại Xο. Còn Δy sẽ là số gia tương ứng của hàm số.

Tìm hiểu về các dạng bài tập thường gặp về đạo hàm 1/x phổ biến hiện nay
Đạo hàm 1/x cũng thuộc loại đạo hàm cơ bản thường gặp. Vậy nên, các dạng toán của đạo hàm 1/x cũng khá phổ biến. Tuy nhiên, bạn phải hiểu rõ về từng dạng để áp dụng công thức và tính toán chính xác hơn. Cụ thể như sau:
Tính đạo hàm của hàm số
Tính đạo hàm của hàm số là một trong những dạng toán đạo hàm thường gặp nhất của 1/x. Dạng bài tập cơ bản này sẽ có phương pháp giải là vận dụng những quy tắc. Ngoài ra còn cần kết hợp với các tính đạo hàm đặc biệt. Đạo hàm này đó là đạo hàm của hàm hợp tại một điểm X0 tương ứng. Bạn sẽ tính đạo hàm của chính hàm số đó và thay X0 vào sẽ tìm được kết quả.

Giải phương trình y’ = 0
Giải phương trình y’ = 0 là dạng toán thường gặp khi giải các bài toán đạo hàm 1/x. Dạng toán này sẽ có cách giải là tính y’ và tiến hành giải phương trình y’=0. Trong đó có giá trị tương ứng cho trước.

Chứng minh đẳng thức về đạo hàm
Chứng minh đẳng thức về đạo hàm là dạng toán có nhiều kiến thức từ cơ bản đến nâng cao. Dạng toán này còn xuất hiện trong các đề thi quan trọng. Để giải được đạo hàm 1/x, bạn phải tính đạo hàm của chúng, biến đổi về hàm lượng giác. Từ đó giúp cho bài toán trở nên dễ dàng hơn và bạn cũng giải một cách nhanh chóng hơn.

Bất phương trình và phương trình có đạo hàm
Bất phương trình và phương trình có đạo hàm cũng là một trong những dạng toán áp dụng nhiều nhất. Dạng toán này sẽ kết hợp với nhiều công thức để có thể giải được phương trình. Từ đó tính toán để đưa ra được kết quả cuối cùng cho bài toán.

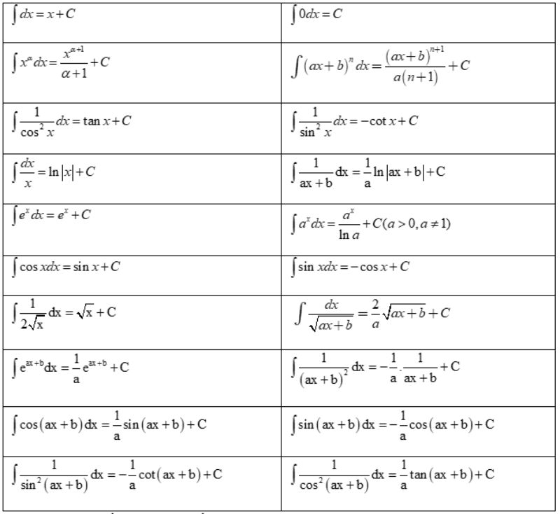
Bảng đạo hàm cơ bản trong toán học không thể bỏ qua
Bảng đạo hàm cơ bản trong toán học đang được rất nhiều người đặc biệt quan tâm và tìm kiếm. Cụ thể như sau:
Các hàm số cơ bản
Các hàm số cơ bản thường được tính theo các công thức như sau:
- Đối với hàm số y = xn (n∈N, n1) sẽ có công thức đạo hàm là (xn)′ = nxn – 1. Trong đó: x ∈ R.
- Đối với hàm số y = x − −√ sẽ có công thức đạo hàm là (x − −√′ = 12x√. Trong đó, mọi biến x dương.

Các phép toán
Đối với các phép toán, giả sử u = u(x) và v = v(x) ta có:
- Công thức tính đạo hàm tại x trong khoảng xác định là (u + v) = u + v(u-v) = u – v(u.v) = u.v + u.v(uv) = uv − uvv2. Trong đó v(x) ≠ 0. Từ phương trình mở rộng ta có: (u1 + u2 + …+ un) = u1′ + u2′ +…+ un.
- Lúc này sẽ xảy ra hai trường hợp: Nếu k là hằng số thì (ku)’ = ku’. Còn nếu (1v)′ = v′v2 và v(x) ≠ 0 thì ta có (u.v.w)′ = u′.v.w + u.v′.w + u.v.w′.
Hàm hợp
Nếu u = u(x) thì ta có hàm số y = f(u) và có phương trình y′u = y′u.u′x (1). Đối với (1) xảy ra trường hợp (un) = n.un – 1.u. Trong đó: n∈N và (u−−√)′ = u′2u√.
Hàm hợp
Hàm lượng giác
Những công thức tính đạo hàm dựa vào hàm lượng giác đó là sin(x)’ = 11- x2√cos(x)’ = −11- x2√tan(x)’ = 1 x 2 + 1.
Lời kết
Đạo hàm 1/x chính là tỉ số giữa số gia tương ứng của một hàm số. Không những thế, bảng đạo hàm cơ bản trong toán học cũng được nhiều người quan tâm. Nếu bạn muốn tìm hiểu thêm về đạo hàm này, hãy liên hệ ngay với Sforum nhé!
