1. Lý thuyết nguyên hàm từng phần
1.1. Khái niệm nguyên hàm từng phần
Nguyên hàm từng phần chính là phương pháp giải các dạng bài toán 12 nguyên hàm. Khi cho hai hàm số u = u(x), v = v(x) có đạo hàm liên tục trên K, chúng ta có công thức nguyên hàm từng phần là ∫udv = uv−∫vdu.
Chú ý: Ta sử dụng phương pháp nguyên hàm từng phần nếu nguyên hàm có dạng I=∫f(x).g(x)dx, trong đó f(x) và g(x) là 2 trong 4 hàm số: Hàm số logarit, hàm số lượng giác, hàm số đa thức,…
1.2. Ví dụ về nguyên hàm từng phần
Ví dụ 1: Tìm nguyên hàm của hàm số sau:
. Ta có:
Ví dụ 2: Hãy tìm nguyên hàm của hàm số ?
Giải:

Ví dụ 3: Nguyên hàm của hàm số y=x.lnx là gì?
Giải:

2. Tổng hợp các công thức tính nguyên hàm từng phần
Cho 2 hàm số u = u (x) và v = v (x) có đạo hàm trên tập K. Khi đó ta có công thức tính nguyên hàm từng phần như sau:
Để tính nguyên hàm ∫f(x).g(x)dx, chúng ta làm theo công thức sau:
Bước 1: Ta đặt:
Theo đó thì G(x) là một nguyên hàm bất kỳ của hàm số g(x).
– Bước 2.Lúc này theo công thức nguyên hàm từng phần ta có:
∫f(x).g(x)dx= f(x).G(x)−∫G(x).f′(x)dx.
Lưu ý: Khi I=∫f(x).g(x)dx và f(x) và g(x) là 2 trong 4 hàm số: Hàm số logarit, hàm số đa thức, hàm số lượng giác, hàm số mũ ta đặt theo quy tắc đặt u.
Các em học sinh có thể nhớ cách đặt ẩn theo câu sau:
“Nhất log (bao gồm các hàm log, ln) – Nhì đa (tức là các hàm đa thức)
Tam lượng (tức là các hàm lượng giác) – Tứ mũ ( tức là các hàm mũ)”
Câu trên là thứ tự hàm số nào đứng trước trong câu, ta sẽ đặt u bằng hàm đó. Có nghĩa là:
– Trong trường hợp nếu f(x) là hàm log, g(x) là một trong 3 hàm còn lại, ta sẽ đặt:
– Tương tự, trong trường hợp nếu f(x) là hàm mũ, g(x) là hàm đa thức, ta sẽ đặt:
>> Xem thêm: Bảng công thức tính nguyên hàm đầy đủ nhất
3. Phương pháp giải nguyên hàm từng phần
Dạng 1: Tìm nguyên hàm của hàm số logarit
Hãy tính nguyên hàm của hàm số logarit sau:
với f(x) là một hàm của đa thức
Phương pháp giải:
- Bước 1: Ta tiến hành đặt
- Bước 2: Sau khi làm xong bước 1 ta biến đổi hàm số về dạng
Dạng 2: Nguyên hàm của hàm số mũ
Tính nguyên hàm của hàm số mũ sau:
với f(x) là một hàm đa thức
Phương pháp:
-
Bước 1: Ta tiến hành đặt
-
Bước 2: Dựa vào bước đặt ở bước 1, ta có: ∫f(x)e ax+b dx=uv-∫vdu
Dạng 3: Hàm số lượng giác và hàm đa thức
Hãy tính nguyên hàm của hàm số lượng giác:
hoặc
Lời giải
- Bước 1: Ta tiến hành đặt như sau:
- Bước 2: Ta biến đổi thành
Dạng 4: Hàm số lượng giác và hàm số mũ
Hãy tính nguyên hàm kết hợp giữa hàm số lượng giác và hàm số mũ:
hoặc
Các bước giải như sau:
- Bước 1: Ta tiến hành đặt như sau
- Bước 2: Khi đó, nguyên hàm sẽ tính theo công thức tổng quát uv-∫vdu
Lưu ý: Đây là dạng toán phức tạp nên cần lấy nguyên hàm từng phần 2 lần. Ngoài ra, ở bước 1 ta có thể đặt khác chút bằng cách đặt:
4. Cách giải dạng bài tập nguyên hàm từng phần có đáp án
Dạng 1: Tìm nguyên hàm của hàm số logarit
Ví dụ: Tìm nguyên hàm của hàm số f(x) = x.lnx
Lời giải:
Dựa vào phương pháp giải ở trên bạn dễ thấy
Bước 1: Ta tiến hành đặt biểu thức dạng
Bước 2: Theo công thức tính nguyên hàm từng phần, ta có:
Ví dụ: Hãy tính nguyên hàm của biểu thức sau I=∫xexdx
Lời giải
Dựa theo phương pháp trên, ta tiến hành đặt
Theo công thức tính nguyên hàm từng phần, ta có:
>> Xem thêm: Công thức nguyên hàm lnx và cách giải các dạng bài tập
Dạng 2: Hàm số lượng giác và hàm đa thức
Hãy tính nguyên hàm của hàm số lượng giác:
hoặc
Lời giải
– Bước 1: Ta tiến hành đặt như sau:
– Bước 2: Dựa vào việc đặt ở bước 1, ta biến đổi thành:
Để hiểu hơn, ta cùng xem ví dụ sau đây:
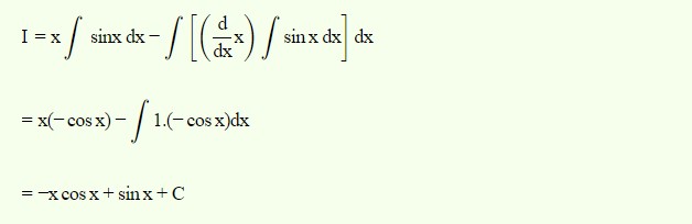
Ví dụ: Hãy tính nguyên hàm của hàm lượng giác sau A = ∫xsinxdx
Lời giải:
Đây là một nguyên hàm kết hợp giữa nguyên hàm lượng giác, bạn hãy làm như sau:
Dựa theo phương pháp trên, ta đặt như sau:
Theo công thức nguyên hàm từng phần ta có:
>> Xem thêm: Cách tính nguyên hàm của tanx bằng công thức cực hay
Dạng 3: Hàm số lượng giác và hàm số mũ
Ví dụ: Hãy tính nguyên hàm của hai hàm là hàm lượng giác và hàm e mũ sau đây I = ∫sinx.exdx
Lời giải
Đây là một nguyên hàm kết hợp giữa nguyên hàm lượng giác, nguyên hàm của e mũ u. Bạn hãy làm như sau:
Ta tiến hành đặt như sau
Khi đó, nguyên hàm trở thành:
Lúc này ta tính: J=∫cosx.ex.dx
Để tính được J, bạn cần lấy nguyên hàm từng phần lần 2. Cụ thể là
Đặt như sau:
Khi đó:
Như vậy, trong bài viết này VUIHOC đã giúp các em khái quát lại khái niệm cũng như các công thức nguyên hàm từng phần cùng các bài tập nhằm giúp các em vận dụng hiệu quả. Ngoài ra, để có thể luyện tập thêm nhiều bài tập cho thật nhuần nhuyễn các em, hãy truy cập ngay tại Vuihoc.vn và đăng ký khóa học dành cho học sinh lớp 12 nhé!
>> Xem thêm: Phương pháp tính tích phân từng phần và ví dụ minh họa
