Đạo hàm 1/x là gì?
Đạo hàm 1/x được biết đến là một trong những loại đạo hàm cơ bản thường gặp nhất. Đây chính là tỉ số giữa số gia tương ứng của một hàm số, cùng với đó sẽ là số gia của đối số tại một điểm X0. Giá trị tương ứng của đạo hàm lúc này sẽ thể hiện chiều và độ lớn của sự biến thiên của chính xác số đó.
Định nghĩa: Cho hàm số y = f(x) được xác định ở khoảng (a,b) nhất định với X0 ∈ (a,b).Lúc này, giới hạn hữu hàm của tỉ số tương ứng chính là ƒ(X) – ƒ(Xο) ⁄ X – Xο khi X → Xο được gọi là đạo hàm của hàm số tại Xο. Ký hiệu: f’(Xο).
Nếu đặt X – Xο = Δx và Δy = ƒ(Xο + Δx) – ƒ(Xο) ta có:
Khi đó Δx gọi là số gia của đối số tại Xο, Δy là số gia tương ứng của hàm số.
Công thức tính đạo hàm của 1/x
Một trong những yếu tố quan trọng khi làm bài tập đạo hàm của 1/x đòi hỏi các em học sinh phải nắm rõ công thức tính của nó thì mới có thể làm chính xác bài toàn.
Bởi vì dạng toán 1/x đạo hàm này thuộc loại đạo hàm của hàm số cơ bản thường gặp nên công thức tính của nó cũng được liệt kê vào đó. Cụ thể như sau:

Các dạng bài tập thường gặp về đạo hàm của 1 phần x và cách giải
Thuộc vào loại đạo hàm cơ bản thường gặp, nên các dạng toán của đạo hàm 1/x cũng có sự tương tự. Nhưng đòi hỏi các em phải nhận biết rõ từng dạng để có thể áp dụng công thức và phương pháp tính chính xác hơn. Cụ thể:
Dạng 1: Tính đạo hàm của hàm số
Đây là một trong những dạng toán đạo hàm của 1/x thương gặp nhất, cũng như là dạng bài tập cơ bản. Với phương pháp giải ở đây chính là vận dụng những quy tắc, kết hợp với cách tính đạo hàm đặc biệt chính là đạo hàm của hàm hợp tại một điểm X0 tương ứng rồi mọi người tính đạo hàm của chính hàm số đó và thay X0 vào để tìm được kết quả.
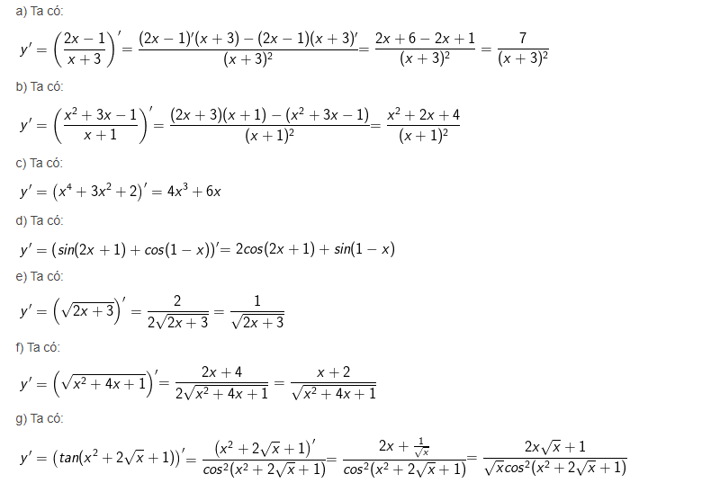
Ví dụ: Tính đạo hàm của những hàm số sau:

-> Cách giải:

Dạng 2: Giải phương trình y’ = 0
Dạng toán giải phương trình y’=0 cũng là một trong những mẫu bài tập thường gặp khi giải bài toán đạo hàm của 1 phần x. Phương pháp giải ở đây chính là tính y’ rồi mới tiến hành giải phương trình y’=0 với giá trị tương ứng cho trước.
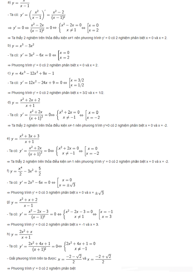
Ví dụ: Giải phương trình y’=0 biết:

-> Cách giải

Dạng 3: Chứng minh đẳng thức về đạo hàm
Đây là một trong những dạng toán có nhiều kiến thức cơ bản đến nâng cao xuất hiện trong các đề thi quan trọng. Chính vì vậy, để giải dạng đề đạo hàm 1/x này mọi người sẽ phải tính đạo hàm của chúng rồi biến đổi về hàm lượng giác để tính toán dễ dàng hơn.
Ví dụ: Chứng minh rằng:
a) y’ – y2 – 1 = 0, với y = tanx
b) y’ + 2y2 + 2 = 0, với y = cot2x
c) y’2 + 4y2 – 4 = 0, với y = sin2x
-> Cách giải

GIÚP CON HỌC TOÁN KẾT HỢP VỚI TIẾNG ANH SIÊU TIẾT KIỆM CHỈ TRÊN MỘT APP MONKEY MATH. VỚI NỘI DUNG DẠY HỌC ĐA PHƯƠNG PHÁP GIÚP BÉ PHÁT TRIỂN TƯ DUY NÃO BỘ VÀ NGÔN NGỮ TOÀN DIỆN CHỈ VỚI KHOẢNG 2K/NGÀY.

Một số bài tập tự luyện tính đạo hàm 1/x
Ngoài việc nắm rõ định nghĩa, công thức, phương pháp giải của dạng toán tính đạo hàm của 1/x thì đòi hỏi học sinh phải kết hợp giữa “học đi đôi với hành”, các em phải thực hành làm bài tập dạng này nhiều hơn. Để từ đó có thể tự mình rút ra được kinh nghiệm tính toán nhanh, cũng như từ những sai lầm trong quá trình làm để tránh sai phạm trong những lần làm bài sau.
Vậy nên, dưới đây là một số bài tập liên quan tới tính đạo hàm của 1 phần x để các em có thể tham khảo và tự luyện.

Tìm hiểu thêm: Đạo hàm tại 1 điểm và hướng dẫn dẫn cách làm bài tập vận dụng đơn giản dễ hiểu
Kết luận
Trên đây là tổng hợp những thông tin giúp mọi người hiểu rõ hơn về kiến thức đạo hàm 1/x. Đây là một trong những dạng toán cơ bản nhưng cũng rất quan trọng, thường xuất hiện tại các đề thi từ nhỏ đến lớn. Vậy nên, các em cần tìm hiểu kỹ để có thể đạt được điểm khi làm bài tập tuyệt đối nhé. Chúc các em thành công!
