Độ lệch chuẩn là một khái niệm quan trọng trong thống kê mô tả. Ứng dụng nhiều khi sử dụng phần mềm SPSS. Trong bài viết này, hãy cùng tìm hiểu về khái niệm độ lệch chuẩn, công thức và ý nghĩa của nó nhé!

Độ lệch chuẩn là gì?
I. Độ lệch chuẩn là gì?
1. Khái niệm
Trong thống kê mô tả, độ lệch chuẩn là thước đo độ phân tán của một tập hợp các giá trị so với giá trị trung bình của chúng. Độ lệch chuẩn của 1 giá trị càng thấp nghĩa là giá trị đó càng gần với giá trị trung bình của tập hợp.
Ví dụ: Nhìn vào ví dụ bên dưới ta có thể thấy trong tập dữ liệu A có độ phân tán thấp, hay nói cách khác là chúng khá “gần” nhau.

Độ phân tán của tập A thấp
Trái lại, các giá trị của tập dữ liệu B lại có sự phân tán lớn hơn:
Độ phân tán của tập B cao hơn tập A
2. Công thức tính độ lệch chuẩn
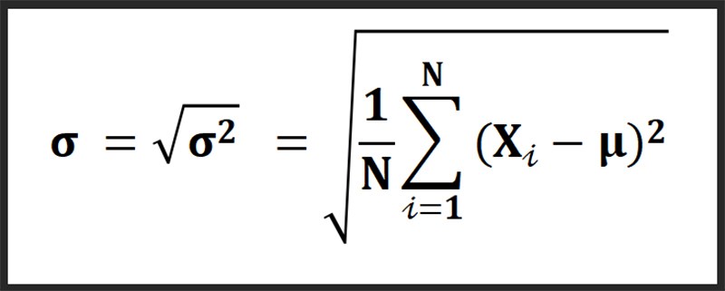
Độ lệch chuẩn của tổng thể/ quần thể là căn bậc 2 của công thức tính phương sai tổng thể:

Độ lệch chuẩn tổng thể
Độ lệch chuẩn của mẫu:

Độ lệch chuẩn mẫu
Trong đó:
- σDùng khi nói về quần thể
- sDùng khi nói về mẫu
- N,n là số phần tử có trong tập hợp/mẫu
- xi là phần tử thứ i của quần thể/mẫu
- x là giá trị trung bình của tập hợp
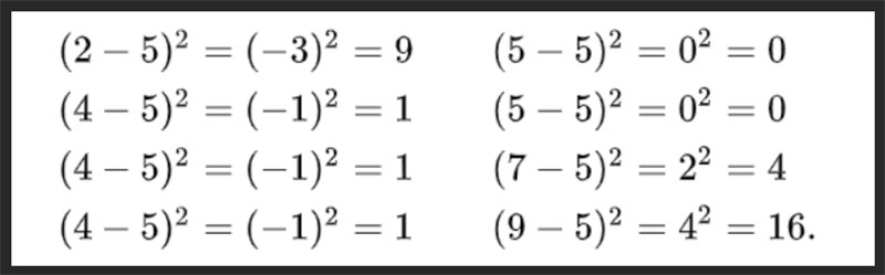
Ví dụ: Giả sự rằng tổng thể N của chúng ta là một lớp học có 8 học sinh. Độ lệch chuẩn của tổng thể sẽ là căn bậc 2 của phương sai.
Điểm số của 8 học sinh trong lớp lần lượt là: 2; 2; 4; 4; 4; 5; 5; 7; 9
Đầu tiên, ta tìm giá trị trung bình tổng thể:
Tính trung bình tổng thể
Để phép tính dễ dàng hơn, ta tính sự chênh lệch giữa các giá trị so với giá trị trung bình, sau đó bình phương chúng lên:

Áp dụng công thức tính phương sai, ta có:
Tính phương sai
Từ đó, suy ra độ lệch chuẩn là:

Độ lệch chuẩn bằng căn bậc 2 của phương sai
3. Tính độ lệch chuẩn trong Excel
Để tính độ lệch chuẩn trong Excel, bạn sử dụng hàm STDEV với cú pháp: STDEV(number1,[number2],…)
Trong đó:
- Number1: Bắt buộc. Đối số dạng số đầu tiên tương ứng với mẫu tổng thể.
- Number2, … :Tùy chọn. Đối số dạng số từ 2 đến 255 tương ứng với mẫu tổng thể.
Ví dụ: Tính độ lệch chuẩn trong excel với tập hợp N = {2; 2; 4; 4; 4; 5; 5; 7; 9}

Tính độ lệch chuẩn trong Excel
II. Ý nghĩa độ lệch chuẩn trong SPSS
1. Ý nghĩa
Độ lệch chuẩn cho ta biết được độ phân tán của giá trị thống kê so với giá trị trung bình, ở từng thời điểm khác nhau. Nếu độ lệch chuẩn thấp thì tính biến động không đáng kể và ngược lại.
Độ lệch chuẩn bằng căn bậc 2 của phương sai – một đại lượng mô tả sự chênh lệch của một giá trị so với giá trị trung bình. Cả độ lệch chuẩn và phương sai đều dùng để đo lường các mức độ lan truyền của dữ liệu trong bất kỳ tập dữ liệu nào.
2. Độ lệch chuẩn trong SPSS
Trong phần mềm phân tích dữ liệu phục vụ nghiên cứu khoa học SPSS, ở phần thống kê mô tả, độ lệch chuẩn diễn tả mức độ khác biệt giữa các câu trả lời của đáp viên. Nếu độ lệch chuẩn càng nhỏ thì các đáp án của đáp viên không có sự khác biệt quá nhiều. Hay nói cách khác là nhiều đáp viên cùng trả lời một đáp án giống nhau cho câu hỏi thống kê.
Trong SPSS, độ lệch chuẩn không có một mức gọi là “có thể chấp nhận” cho dữ liệu. Độ lệch chuẩn chỉ cho bạn biết mức độ phân tán của dữ liệu, còn việc độ lệch chuẩn tốt hay xấu sẽ phụ thuộc vào kỳ vọng của bạn khi thực hiện nghiên cứu.
Ví dụ: Bạn kỳ vọng khi khảo sát, các đáp viên đa số sẽ lựa chọn đồng tình (số 4,5) với ý kiến bạn đưa ra. Nhưng các câu trả lời có độ lệch chuẩn cao – nghĩa là đáp án dàn trải cả 5 số từ 1 đến 5 mà không tập trung đa số vào 4 và 5 như kỳ vọng. Lúc này, độ lệch chuẩn là không tốt, vì nó khác với kỳ vọng và mục đích của bạn.
Trên đây là tổng quan về độ lệch chuẩn, công thức và ý nghĩa của nó. Hy vọng bài viết đã cung cấp cho bạn một vài kiến thức bổ ích. Hãy chia sẻ nếu thấy thú vị nhé!
