Trong đời sống và khoa học, từ trường luôn hiện diện quanh ta một cách thầm lặng nhưng vô cùng quan trọng. Từ hoạt động của la bàn định hướng, sự vận hành của máy phát điện, động cơ. Cho đến những ứng dụng hiện đại như bếp từ, thẻ từ hay công nghệ sạc không dây, tất cả đều gắn liền với hiện tượng này.
Hiểu rõ về từ trường không chỉ giúp chúng ta lý giải các hiện tượng tự nhiên. Mà còn mở ra nhiều ứng dụng thiết thực trong kỹ thuật và công nghệ hiện đại.
Từ trường là gì?
Từ trường là một dạng môi trường vật chất bao quanh các hạt mang điện chuyển động không ngừng. Nó tạo ra lực từ tác dụng lên các vật có từ tính đặt trong phạm vi của nó, ví dụ như dòng điện hoặc nam châm.

Để làm rõ khái niệm này, một số ví dụ có thể kể đến như sau: sự hút nhau của hai nam châm khi đặt gần nhau ( hoặc khi chúng nằm trong từ trường của nhau ). Lực từ tác dụng qua không gian và tương tác của các dòng điện song song (cùng chiều thì hút, ngược chiều thì đẩy).
Xem thêm:
- Bảng giá cáp điện cadivi mới nhất hiện nay – Đại Việt
- Điện trở là gì? Công thức, cách đọc và ứng dụng
- Công suất là gì? Đơn vị, ý nghĩa và công thức tính
- Biến tần là gì? Cấu tạo, nguyên lý, phân loại và bảng giá
- Công tắc tơ là gì? Nguyên lý, cấu tạo và ứng dụng Contactor
Cách nhận biết từ trường
Bằng mắt thường rất khó nhận biết từ trường. Ta có thể thực hiện thí nghiệm sau:
- Chuẩn bị: Một cuộn dây dẫn điện, một la bàn (nam châm), nguồn điện 5V, một biến trở.
- Thực hiện: Mắc cuộn dây qua biến trở, sau đó nối vào nguồn điện một chiều.
- Kết quả: Khi có dòng điện chạy qua, quan sát thấy la bàn bị lệch đi. Điều này chứng tỏ cuộn dây đã tạo ra từ trường, và la bàn định hướng theo từ trường đó.

Do vậy, để nhận biết từ trường, người ta thường sử dụng kim nam châm để dễ dàng quan sát sự tác động của lực từ lên vật liệu từ (nam châm).
Hướng của từ trường
Hướng của từ trường có thể được xác định bằng cách sử dụng nam châm thử. Quy ước, hướng của từ trường tại một điểm là hướng Nam – Bắc của kim nam châm nhỏ khi cân bằng tại điểm đó.

Công thức tính từ trường
Giá trị của từ trường được tính toán bằng các công thức khác nhau. Tùy thuộc vào đặc điểm của từng loại từ trường. Cụ thể:
Từ trường của dòng điện chạy trong dây dẫn thẳng dài:

Trong đó:
- B: Cảm ứng từ (T)
- I: Cường độ dòng điện (A)
- r: Khoảng cách từ dòng điện đến vị trí xét (m)
Từ trường của dòng điện chạy trong dây dẫn uốn vòng tròn:

Trong đó:
- B: Cảm ứng từ (T)
- I: Cường độ dòng điện (A)
- R: Bán kính vòng dây mang dòng điện (m)
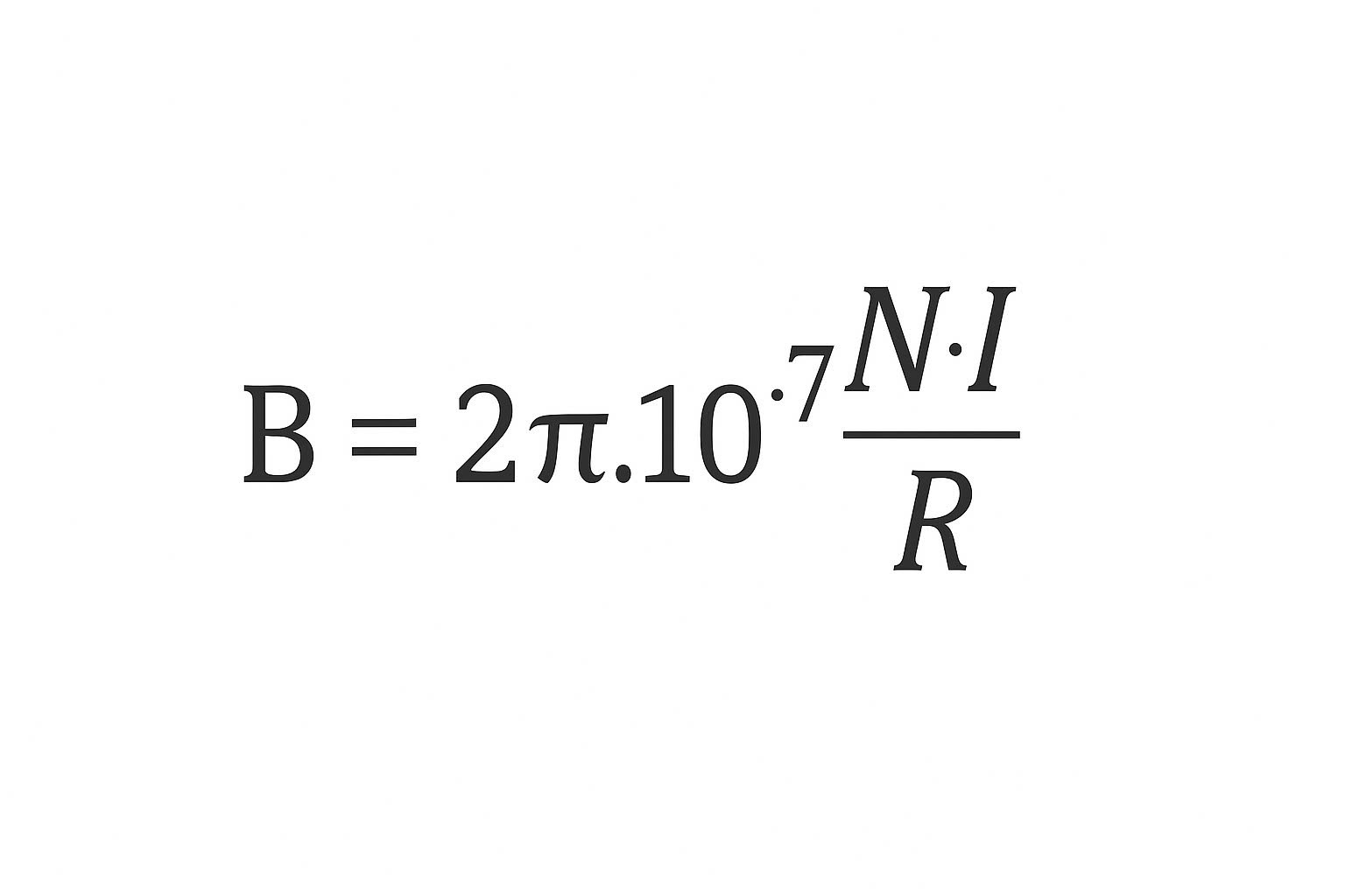
Từ trường trong khung dây tròn có N vòng quấn:

Trong đó:
- B: Cảm ứng từ (T)
- I: Cường độ dòng điện (A)
- R: Bán kính vòng dây mang dòng điện (m)
- N: Số vòng dây
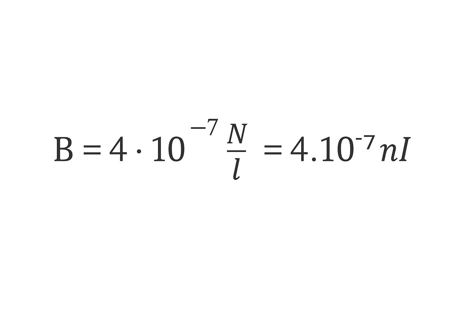
Từ trường của dòng điện trong ống dây hình trụ:

Trong đó:
- B: Cảm ứng từ (T)
- I: Cường độ dòng điện (A)
- N: Tổng số vòng dây
- l: Chiều dài ống dây (m)
- n = N/l: số vòng dây quấn trên một đơn vị dài của ống dây
Ưu nhược điểm của từ trường
Từ trường đóng vai trò quan trọng trong nhiều hiện tượng vật lý và ứng dụng thực tế. Từ sản xuất điện năng, động cơ điện cho đến các thiết bị y tế hiện đại. Tuy nhiên, bên cạnh những lợi ích to lớn, từ trường cũng tồn tại những hạn chế và tác động nhất định đến đời sống con người.
Ưu điểm của từ trường
- Là nền tảng cho nhiều ứng dụng quan trọng: máy phát điện, động cơ, biến áp, bếp từ, sạc không dây, cảm biến từ…
- Cho phép truyền năng lượng không tiếp xúc, giúp giảm hao mòn cơ học, tăng tuổi thọ thiết bị.
- Mang lại độ an toàn cao hơn trong nhiều ứng dụng nhờ khả năng cách ly điện trực tiếp.
- Góp phần nâng cao chất lượng cuộc sống thông qua các công nghệ hiện đại và thân thiện với môi trường.

Nhược điểm của từ trường
- Có thể gây tổn hao năng lượng (dòng điện xoáy, hiện tượng từ trễ), làm giảm hiệu suất thiết bị.
- Từ trường mạnh dễ gây nhiễu điện từ, ảnh hưởng đến các thiết bị điện tử nhạy cảm.
- Trong một số trường hợp, tiếp xúc lâu dài với từ trường mạnh có thể gây ảnh hưởng nhất định đến sức khỏe.
- Khoảng cách truyền năng lượng bằng từ trường còn hạn chế, hiệu suất giảm khi khoảng cách lớn.
Ứng dụng của từ trường
Trong thực tế, từ trường có nhiều ứng dụng quan trọng trong sản xuất các thiết bị khác nhau:
- Sử dụng trong các thiết bị máy móc như máy phát điện, các loại động cơ điện.
- Được dùng trong các máy điện tĩnh như máy biến áp, tụ điện, v.v.
- Dùng để hút sắt, ví dụ như nam châm điện trong cần cẩu thép, cuộn rơ le, cuộn dây đóng mở van điện tử,…
- Ứng dụng trong các dụng cụ đo đạc và thăm dò tín hiệu, phát tín hiệu như micro loa, dò phát ra âm thanh, bộ cảm biến đo lường độ rung, độ chấn động, còi điện, chuông báo nước,…
- Sử dụng trong các vật chuyển động như đệm trong xe lửa cao tốc, bộ cản dịu bên trong các đồng hồ đo đạc,…
- Ứng dụng trong việc tạo ra sóng điện từ, từ đó phát minh ra radio, TV, điện thoại di động và nhiều công nghệ hiện đại khác.
- Sử dụng trong các thiết bị y tế để điều trị, cứu chữa bệnh cho con người.

Đường sức từ
Đường sức từ là một khái niệm quan trọng liên quan đến từ trường. Vậy đường sức từ là gì và nó có các tính chất nào?
Định nghĩa đường sức từ
Đường sức từ biểu diễn mật độ của từ trường (tức là độ mạnh hay yếu của nó). Chúng là tập hợp các đường cong khép kín hoặc đường thẳng dài vô tận trong không gian xung quanh nam châm hoặc dòng điện. Và các đường này không cắt nhau. Mật độ đường sức từ càng lớn thì từ trường càng mạnh, và ngược lại. Quy ước chiều của đường sức từ là đi từ cực Bắc vào cực Nam của nam châm tại một điểm bất kỳ.

Các ví dụ về đường sức từ
Đường sức từ có nhiều hình dạng khác nhau, tùy thuộc vào hình dạng của nam châm. Ví dụ:
- Đường sức từ của nam châm thẳng: Ở bên ngoài nam châm, đường sức từ có hình cong đối xứng qua trục của nam châm, và hướng đi từ cực Bắc vào cực Nam. Đường sức từ càng dày và mạnh khi càng gần nam châm.
- Đường sức từ của nam châm chữ U: Bên ngoài nam châm, đường sức từ có dạng đường cong, đối xứng qua trục chữ U của nam châm, chiều từ Bắc vào Nam. Mật độ đường sức từ dày hơn khi tiến gần các cực của nam châm.
Trong khoảng không gian giữa hai cực của nam châm chữ U. Đường sức từ là các đường thẳng song song và cách đều nhau – đây được gọi là từ trường đều.

Đường sức từ của dòng điện thẳng dài: Đường sức từ là các đường tròn nằm trong mặt phẳng vuông góc với dòng điện, và có tâm nằm trên dòng điện. Chiều của đường sức từ được xác định bằng quy tắc bàn tay phải: “Đặt bàn tay phải sao cho ngón cái trùng với phương của dây dẫn và chỉ theo chiều dòng điện, các ngón còn lại khum theo chiều các đường sức từ”.
Các tính chất của đường sức từ
Đường sức từ có các tính chất sau:
- Tại mỗi điểm trong không gian chỉ có duy nhất một đường sức từ.
- Các đường sức từ là đường cong khép kín hoặc đường thẳng dài vô hạn ở hai đầu.
- Chiều của đường sức từ được xác định theo quy tắc bàn tay phải và quy tắc ra Bắc vào Nam.
- Các đường sức từ mạnh thì có độ mau và sát vào nhau, còn đường sức từ yếu thì thưa và yếu hơn.
Cảm ứng từ
Nếu đường sức từ diễn tả mật độ của từ trường, thì cảm ứng từ cho biết độ lớn của nó. Cảm ứng từ là đại lượng vật lý đặc trưng cho từ trường xét trên phương diện tác dụng của lực từ. Đơn vị của cảm ứng từ là Tesla (T). Véc tơ cảm ứng từ là véc tơ có phương tiếp tuyến với đường sức từ tại điểm đang xét. Chiều từ cực Nam sang cực Bắc của nam châm đặt lên nó.

Từ trường đều
Đây là một khái niệm thường được nhắc đến trong vật lý. Từ trường đều có các đường sức từ song song, cùng chiều, và khoảng cách giữa các đường sức đều nhau. Do đó, độ lớn hay cảm ứng từ tại bất kỳ điểm nào trong từ trường đều là như nhau.
Từ trường của trái đất (địa từ trường)
Các nhà khoa học đã phát hiện ra rằng xung quanh Trái Đất luôn tồn tại từ trường. Nó phát sinh do tính chất của các vật chất cấu tạo nên Trái Đất. Trường này tồn tại cả trong lòng và không gian rộng lớn bao quanh Trái Đất.
Nguyên nhân của hiện tượng này được giải thích bằng học thuyết geodynamo. Theo đó, Trái Đất được xem như một lưỡng cực từ trường với một cực gần cực Bắc địa lý và cực còn lại gần cực Nam địa lý. Đường thẳng nối hai cực này lệch khoảng 11,3 độ so với trục quay của Trái Đất.

Từ trường Trái Đất có thể mở rộng ra vô hạn, nhưng cường độ sẽ yếu dần khi càng xa Trái Đất. Tầm ảnh hưởng của nó có thể lên tới hàng ngàn km trong vũ trụ, tạo thành từ quyển. Từ quyển và khí quyển của Trái Đất có vai trò quan trọng trong việc ngăn chặn các dòng hạt điện tích và bảo vệ sự sống trên hành tinh của chúng ta.
Kết luận
Có thể thấy, từ trường không chỉ là một hiện tượng vật lý gắn liền với tự nhiên. Mà còn là nền tảng cho hàng loạt ứng dụng quan trọng trong cuộc sống hiện đại. Việc hiểu và ứng dụng đúng đắn từ trường sẽ giúp chúng ta khai thác tối đa lợi ích. Đồng thời mở ra những giải pháp mới phục vụ cho đời sống và sự phát triển bền vững. Hy vọng qua bài viết của Đại Việt ở trên. Sẽ giúp quý độc giả hiểu rõ hơn về từ trường rồi nhé.
Tìm hiểu thêm:
- Dòng điện xoay chiều là gì? Cách tính và ứng dụng
- Dòng điện 1 chiều là gì? Công thức tính và ứng dụng
- Cảm ứng từ là gì? Ứng dụng và công thức tính cảm ứng
- AC và DC là gì? Cách phân biệt dòng điện AC và DC
