Toluen là một trong những loại dung môi công nghiệp được sử dụng phổ biến trong các ngành công nghiệp như sản xuất sơn, nhựa tổng hợp, keo dán, tất chẩy rửa, dệt nhuộm,… Vậy Toluen là gì, chúng có vai trò quan trọng ra sao trong thực tiễn, và cần lưu ý những điều gì để sử dụng hợp chất hóa học này an toàn và hiệu quả? VIETCHEM sẽ cùng bạn đáp những thắc mắc trên qua nội dung bài viết sau đây!

Dung môi Toluen một chất lỏng khúc xạ, trong suốt, không màu
1. Toluen là gì?
- Toluen hay còn gọi là metylbenzen hay phenylmetan là một chất lỏng trong suốt, không hòa tan trong nước. Toluen là một hydrocacbon thơm được sử dụng làm dung môi trong công nghiệp. Với công thức hóa học toluen là C7H8 (C6H5CH3).
- Nó là một hydrocacbon thơm, có khả năng tham gia phản ứng thế ái điện tử. Vì có nhóm metyl mà độ hoạt động hóa học của Toluene trong phản ứng này lớn gấp 25 lần so với benzen. Vì vòng thơm khá bền nên cần áp suất cao khi tiến hành phản ứng hydro hóa toluen thành các loại metylcyclohexan.
- Ít hòa tan trong nước, độ hòa tan trong nước của nó ở 16 độ C là 0.047g/100ml còn ở 150 độ C là 0.04g/100ml.
- Là dung môi hòa tan rất tốt chất béo, dầu, nhựa thông, lưu huỳnh, iot, ngoài ra nó có thể tan lẫn hoàn toàn với một số dung môi hữu cơ như xeton, rượu, este
- Bản thân toluen là một dung môi dễ cháy.
2. Tính chất hóa học của Toluen

=> Cùng tìm hiểu thêm về Dung môi methanol
Toluen là hợp chất thuộc dãy đồng đẳng của benzen nên nó có mùi thơm ngọt giống benzen. Và cũng vì thế nên tính chất hóa học của toluen cũng tương tự như benzen:
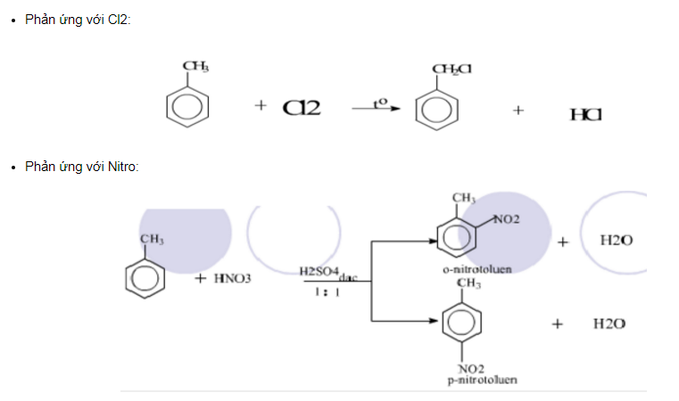
- Tham gia phản ứng với brom khan cho ra brom toluen và axit HBr.
- Toluen phản ứng với khí Clo tạo thành diclometan và axit HCl.
- Phản ứng với nitro hóa tạo ra nitrotoluen và nước.
- Phản ứng cộng với H2 tạo ra metylxiclohexan.
- Phản ứng oxy hóa với nhóm metyl.
- Toluen tương đối dễ tham gia phản ứng thế, khó tham gia phản ứng cộng và bền vững với các chất oxi hóa. Đó là tính chất hóa học của toluen, còn gọi là tính thơm (tính chất hóa học đặc trưng của hidrocacbon).

3. Cách tinh chế dung môi Toluen
Toluen có thể được tinh chế bằng cách sử dụng hợp chất như CaCl2, CaH2, CaSO4, P2O5 hay Natri để tách nước. Ngoài ra, kỹ thuật chưng cất chân không cũng được sử dụng phổ biến. Kỹ thuật này, người ta thường sử dụng natri và benzophenon từ tế bào hồng cầu.
- Toluen còn nổi tiếng vì từ nó có thể điều chế TNT:
C7H8 + 3HNO3 -> C7H5(NO2)3 + H2O (xúc tác H2SO4 đặc)
C6H6+ Cl2 -> C6H5Cl + HCl
C6H5Cl + CH3Cl + 2Na -> C7H8 + 2NaCl
- Cách đều chế khác:
C6H6 + CH3Cl -> C7H8 + HCl (xúc tác AlCl3)
4. Dung môi Toluen dùng để làm gì?
Toluen được biết đến như một chất được sử dụng rộng rãi nhất trong đời sống của con người. Những ứng dụng đặc biệt có thể kể đến như:
4.1. Hóa chất toluen sơn bề mặt
- Hóa chất toluen công nghiệp được dùng chủ yếu trong ứng dụng cần độ bay hơi và khả năng hòa tan cao nhất, ví dụ như sản xuất nhựa tổng hợp.
- Toluen được dùng trong sơn xe hơi, xe máy, dùng làm chất tẩy rửa, sơn các đồ đặc trong nhà.
4.2. Toluen làm keo dán
Làm chất tẩy rửa sản xuất keo dán và các sản phẩm cùng loại, dùng trong xi măng cao su, keo dán cao su nhờ có khả năng hòa tan tốt.
4.3. Phụ gia cho nhiên liệu
Được dùng làm chất mang phụ gia cho nhiên liệu và làm chất cải thiện chỉ số octane của xăng dầu. Khi thêm chỉ một lượng tương đối nhỏ hóa chất toluene vào xăng dầu sẽ làm tăng đáng kể chỉ số octane của nhiên liệu.
4.4. Các ứng dụng khác
- Dùng để điều chế thuốc nổ TNT và sản xuất thuốc nhuộm.
- Trong y học.
- Sản xuất nước hoa.
- Sản xuất mực in.
5. Một số lưu ý khi sử dụng các hóa chất toluen

Dung môi công nghiệp Toluen thường rất dễ cháy với tốc độ bay hơi cao
5.1. Không nên tiếp xúc với cơ thể, đặc biệt là mắt
Bảo quản, sức khỏe, môi trường: Hóa chất toluene công nghiệp phải để trong kho có mái che, tránh để những nơi có nhiệt độ cao trên 50%, tránh những nơi dễ gây ra hỏa hoạn, cháy nổ. Để sản phẩm tránh xa nguồn nhiệt, ngọn lửa, các chất dễ cháy nổ.
Lưu ý nên rửa tay ngay khi bị dầu văng vào mắt, da với nhiều nước và xà bông và nên để tránh xa tầm tay trẻ em. Nên lưu ý không tiếp xúc quá nhiều với hóa chất này, vì có thể mắc bệnh ung thư và gây hại đến thần kinh trung ương, mắt kích ứng da, ảnh hưởng đến hệ hô hấp khi tiếp xúc trực tiếp.
5.2. Nguy cơ gây cháy nổ
Dung môi công nghiệp Toluen thường rất dễ cháy với tốc độ bay hơi cao. Ở nhiệt độ nhất định rất có khả năng sẽ gây ra cháy nổ, hậu quả vô cùng nguy hiểm.
Đối với thùng phuy dùng để chứa các dung môi toluen đã qua sử dụng nhưng còn xót lại thì khả năng gây cháy cao nếu không được tăng áp suất, khi hàn, cắt, gọt…
5.3. Cách khắc phục vấn đề
Khi tiếp xúc nên sử dụng các biện pháp an toàn khi tiếp xúc như mang khẩu mang khẩu trang, bao tay ủng hộ, đồ bảo hộ, mắt kính trong vận chuyển, sử dụng sản phẩm.
Để khắc phục các nguy hiểm trên, hãy tẩy rửa sạch các dung môi còn xót lại trong thùng, để bảo vệ an toàn hóa chất cho bản thân và những người xung quanh. Nên dùng nước phun để làm sạch bề mặt, rửa sạch và hạn chế tới mức thấp nhất các khả năng gây cháy. Không được phép lơ là, chủ quan trong mọi tình huống.
6. Lựa chọn những sản phẩm hóa chất Toluen ở đâu đảm bảo chất lượng?
Lựa chọn các sản phẩm về hóa chất toluen được Công ty CP XNK Hóa chất và Thiết bị Kim Ngưu VietChem được lựa chọn kỹ lưỡng qua nhiều tiêu chuẩn chất lượng, các nhà sản xuất uy tín có xuất xứ từ Hàn Quốc, Thái Lan… Được đóng gói trong quy trình và lọ đựng chất lượng đảm bảo cho quá trình vận chuyển hạn chế tối đa việc trào sản phẩm, bảo quản chất lượng ổn định xuyên suốt quá trình sử dụng.
VietChem luôn đặt lợi ích của khách hàng lên hàng đầu với sự yêu nghề, tận tâm với mọi khách hàng. Chúng tôi luôn tìm tòi, cập nhật liên tục những sản phẩm chất lượng tốt, giá cả sản phẩm cạnh tranh, dịch vụ giao hàng nhanh chóng, phân phối toàn quốc.
Hy vọng rằng những thông tin trên giúp cho mọi người hiểu rõ về hóa chất toluen, nắm được các tính chất và ứng dụng của hóa chất đó. Mọi thắc mắc xin liên hệ đến HOTLINE 0826 010 010 để được tư vấn và đặt hàng trực tuyến tại website vietchem.com.vn.
Tham khảo Dung môi công nghiệp tại VietChem
