Cao su là gì? Tính chất hóa học và vật lý của chúng như thế nào? Chúng có những ứng dụng nào trong đời sống hiện nay? Chúng ta hãy cùng Vattuaz.vn tìm hiểu về loại vật liệu độc đáo này qua bài viết dưới đây nhé!
1. Cao su là gì?

Cao su hay có tên tiếng Pháp là caoutchouc là một loại vật liệu thuộc polyterpentine có công thức (C5H8)n được lấy từ mủ của cây sao su. Mủ cao su được thu hoạch bằng phương pháp cạo mủ.
Cao su có niên đại sử dụng khá lâu đời. Người ta thậm chí đã tìm ra những dấu vết sử dụng chúng từ cách đây ba triệu năm. Nhưng đến năm 1876 khi Henry Wickham nhập lậu 70.000 cây cao su từ Brazil về Anh thì cao su mới được biết đến rộng rãi hơn và có nhiều ứng dụng hơn trong đời sống.
Cao su bao gồm 2 loại là cao su tự nhiên và cao su tổng hợp.
2. Tính chất vật lý của cao su

- Cao su có dạng nhũ tương, màu trắng sữa. Sau quá trình lấy mủ từ cây, cao su tự keo lại hoặc hoặc được trộn các chất hóa học khác nhau, chúng mới chuyển thành thể rắn.
- Khối lượng riêng của cao su rất nhẹ chỉ tầm khoảng 920 kg/m³.
- Cao su là một chất ít gặp biến đổi đối với môi trường xung quanh dù nóng hay lạnh.
- Chúng cách điện, cách nhiệt và không tan trong nước (trừ một số dung môi hữu cơ đặc thù)
- Cao su có tính đàn hồi khá tốt. Đây cũng chính là ưu điểm lớn nhất của chất liệu này. Chúng có thể kéo căng gấp 8-9 lần mà vẫn khôi phục được trạng thái ban đầu.
- Độ bền của loại vật liệu này cũng được đánh giá khá cao.
3. Tính chất hóa học của cao su là gì?
Ở đây chúng ta sẽ chỉ nói đến tính chất hóa học của cao su tự nhiên. Vì đối với cao su nhân tạo, tùy từng thành phần khác nhau thì sẽ có những cấu tạo và tính chất khác nhau.
Cao su có thành phần chủ yếu là polyisopren – 1 dạng polyme của isopren. Vì thế nên chúng tan tốt trong CCl4, các dung môi hữu cơ mạch thẳng, mạch vòng. Tuy nhiên chúng không tan trong xeton và rượu.
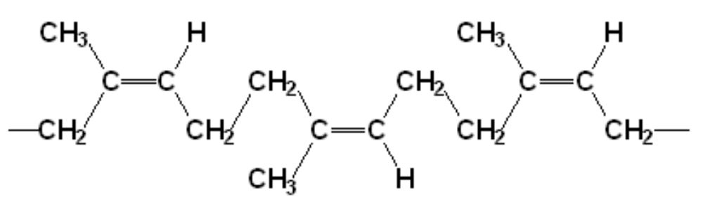
Mạch đại phân tử của cao su tự nhiên được hình thành như sau:

Các mắt xích isopren đồng phân cis liên kết với nhau ở vị trí 1 và 4.
4. Sự khác nhau của cao su thiên nhiên và cao su nhân tạo là gì?

Do tính chất của từng yêu cầu thực tế xảy ra trong đời sống, ngày càng có nhiều loại cao su được sản xuất. Trong đó, có thể chia làm 2 loại cao su chính trên thị trường hiện nay là cao su thiên nhiên và cao su nhân tạo.
4.1 Cao su thiên nhiên
Cao su thiên nhiên là cao su lấy từ cây nguồn mà không thêm bất cứ một thành phần hóa học nào trong quá trình sản xuất ra thành phẩm. Vì thế nên cao su thiên nhiên có trong mình rất nhiều những đặc điểm tối ưu:
- Độ đàn hồi của cao su thiên nhiên là tốt nhất trong tất cả các loại cao su.
- Độ an toàn có thể coi là tuyệt đối, và thậm chí chúng còn có thể kháng khuẩn.
- Độ bền khá cao, có thể kéo dài tới hàng chục năm.
- Một điểm nữa không thể không nói tới ở cao su thiên nhiên là chúng vô cùng thân thiện với môi trường do khả năng tự phân hủy của mình.
Tuy nhiên, cao su thiên nhiên đôi khi cũng không phải là một sự lựa chọn tối ưu vì giá thành của cao su thiên nhiên tương đối cao so với các vật liệu khác cùng tính ứng dụng. Cùng với đó, chúng có thể bị oxy hóa nếu không giữ gìn cẩn thận.
4.2 Cao su nhân tạo
Trái ngược lại với cao su tự nhiên, cao su nhân tạo sử dụng những thành phần hóa học khác nhau tùy theo từng mục đích sử dụng.
Giá thành chúng cũng mềm hơn nhiều so với cao su thiên nhiên.
Chúng có đặc điểm là ít bị oxy hóa nên được ứng dụng nhiều hơn trong các ngành sản xuất công nghiệp.
Tuy nhiên chúng khó phân hủy ngoài môi trường và dễ gây ra vấn đề ô nhiễm.
5. Cao su dùng để làm gì?

Vậy cao su dùng để làm gì? Chúng có những ích lợi gì trong cuộc sống?
Cao su với những ưu điểm vượt trội của mình được sử dụng trong rất nhiều các lĩnh vực như công nghiệp, nông nghiệp, sản xuất, các vật dụng nội thất trong gia đình, …
Dưới đây, Vattuaz.vn xin cùng bạn điểm qua một số những ứng dụng nổi bật của cao su trong đời sống hiện nay:
- Phải nói là có đến 70% sản lượng cao su trên thực tế được sử dụng để sản xuất trong ngành công nghiệp (cụ thể là sản xuất lốp xe ô tô). Với đặc tính đàn hồi và độ bền cao, lốp xe kể từ khi được chế tạo bằng cao su có thể nói là một bước tiến mới trong ngành chế tạo phương tiện của nhân loại.
- Một số vật dụng dù nhỏ nhưng có võ của cao su có thể kể đến như: gioăng, đệm cao su trong các thiết bị công nghiệp; gang tay, nút cao su trong ngành tế; ống cao su chuyên dụng, gioăng lắp cao su trong các hộp đồ, … của ngành công nghệ thực phẩm; …
- Những sản phẩm nội thất làm bằng cao su trong gia đình điển hình như đệm và gối được ưa chuộng hơn cả.
Các sản phẩm cao su đang ngày được sử dụng nhiều hơn trong đời sống. Nếu bạn đang có nhu cầu đang tìm hiểu về loại vật liệu này để có thể có cho mình một lựa chọn phù hợp, hi vọng bài viết trên đây của Vattuaz.vn đã đem đến cho bạn được những thông hữu ích.
