CỰC TRỊ CỦA HÀM BẬC 3
Bài toán tổng quát: Cho hàm số y = ax3 + bx2 + cx + d (a ≠ 0, a, b, c, d phụ thuộc vào tham số). Tìm giá trị của tham số để hàm số có cực đại, cực tiểu (cực trị) thỏa mãn điều kiện cho trước.
Phương pháp:
Bước 1: Tính y’ = 3ax2 + 2bx + c, y’ = 0 ⇔ 3ax2 +2bx + c = 0 (1)
Để hàm số có cực đại, cực tiểu ⇔ y’ = 0 có hai nghiệm phân biệt ⇔ (1) có hai nghiệm phân biệt
(left{begin{matrix} aneq 0 & Delta (Delta ‘)neq 0 & end{matrix}right.)⇔ Giá trị tham số thuộc miền D nào đó (*)
Bước 2:
Từ điều kiện cho trước dẫn tới một phương trình hoặc một bất phương trình theo tham số, giải phương trình này ta được tham số sau đó đối chiếu với điều kiện (*) và kết luận.
Một số điều kiện thường gặp:
– Để hàm số y = f(x) có 2 cực trị <=> (left{begin{matrix} aneq 0 & Delta _{y’}>0 & end{matrix}right.)
– Để hàm số y = f(x) có 2 cực trị nằm về 2 phía đối với trục hoành <=> (y_{CD}.y_{CT}<0)
– Để hàm số y = f(x) có 2 cực trị nằm về 2 phía đối với trục tung <=> (x_{CD}.x_{CT}<0)
– Để hàm số y = f(x) có 2 cực trị nằm phía trên trục hoành <=> (left{begin{matrix} y_{CD}+y_{CT}>0 & y_{CD}.y_{CT}>0 & end{matrix}right.)
– Để hàm số y = f(x) có 2 cực trị nằm phía dưới trục hoành <=> (left{begin{matrix} y_{CD}+y_{CT} <0& y_{CD}.y_{CT}<0 & end{matrix}right.)
– Để hàm số y = f(x) có cực trị tiếp xúc với trục hoành <=> (y_{CD}.y_{CT}=0)
– Đồ thị có 2 điểm cực trị khác phía đối với đường thẳng d: Ax +By +C = 0

Chú ý: Khi thay đường thẳng d bằng trục Ox hoặc Oy hoặc một đường tròn thì vẫn áp dụng kết quả trên . Các kết quả khác thì tùy từng điều kiện để áp dụng.
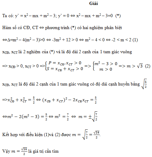
VÍ DỤ MINH HỌA





