Nhằm giúp các bạn học sinh lớp 12 có thể nhanh chóng tra cứu tất cả các công thức Toán 12, bao gồm công thức Giải tích 12 và công thức Hình học 12, phục vụ cho quá trình học tập, ôn luyện kiến thức môn Toán 12, ôn thi THPT Quốc gia 2023 môn Toán, butbi chia sẻ đến các bạn tài liệu bảng tóm tắt công thức Toán 12, tài liệu được biên soạn bởi butbi.hocmai.vn.
Tham khảo thêm:
- Các công thức giải nhanh Toán 12
- Công thức giải nhanh Toán 12 bằng máy tính
- Bài tập phương trình mũ, bài tập logarit lớp 12
A. Công thức toán 12 đại số
1. Công thức lũy thừa 12

2. Công thức logarit toán 12 cần nhớ

3. Công thức hàm số lũy thừa – mũ – logarit toán 12
Nội dung kiến thức:
- Công thức hàm số lũy thừa
- Công thức hàm số mũ
- Công thức hàm số logarit
- Đồ thị hàm số mũ
- Đồ thị hàm số logarit


3. Công thức phương trình mũ và logarit toán 12
Nội dung kiến thức:
- Công thức Phương trình mũ dạng cơ bản
- Công thức Phương trình mũ dạng logarit hóa
- Công thức Phương trình logarit dạng cơ bản
- Công thức Phương trình logarit dạng mũ hóa

4. Công thức bất phương trình mũ và logarit toán 12
Nội dung kiến thức:
- Công thức Bất phương trình mũ dạng cơ bản
- Công thức Bất phương trình logarit dạng cơ bản

5. Công thức đạo hàm toán 12 cần nhớ
Nội dung kiến thức: công thức đạo hàm của (sinx, cosx, tanx, cotx)


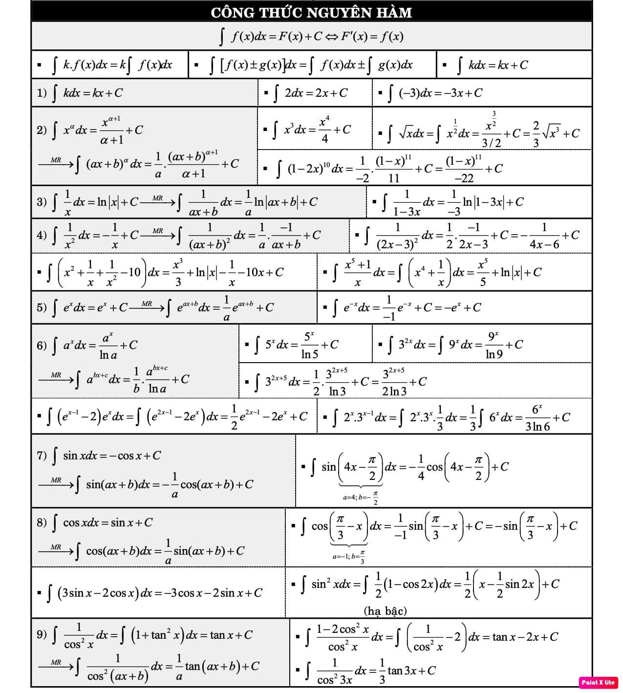
6. Công thức nguyên hàm toán lớp 12
Tổng hợp bộ công thức nguyên hàm chương trình học toán 12 học sinh cần phải nhớ.


7. Công thức diện tích và thể tích toán 12

8. Công thức chuyển động toán 12
9. Công thức lượng giác 12 cần nhớ
Nội dung kiến thức:
- Hệ thức cơ bản
- Cung liên kết
- Công thức cộng
- Công thức nhân đôi, nhân ba
- Công thức hạ bậc
- Công thức biến đổi tổng thành tích
- Công thức biến đổi tích thành tổng

10. Công thức phương trình lượng giác toán 12

11. Công thức tổ hợp – xác suất 12 cần nhớ
Nội dung kiến thức:
- Quy tắc cộng
- Quy tắc nhân
- Công thức tính Hoán vị
- Công thức tính Chỉnh hợp
- Công thức tính Tổ hợp
- Công thức tính Xác suất

12. Công thức khai triển nhị thức newtơn toán 12
Nội dung kiến thức:
- Công thức Khai triển dạng liệt kê
- Công thức Khai triển tổng quát

13. Công thức Cấp số Cộng – cấp số Nhân toán 12

14. Khảo sát hàm số và các dạng toán liên quan
Nội dung kiến thức:
- Xét tính đơn điệu hàm số
- Hàm số bậc 3
- Hàm nhất biến
- Điều kiện cực trị
- Cực trị hàm số bậc 3
- Cực trị của hàm số bậc 4
- Tìm max – min trên đoạn
- Tìm max – min trên khoảng
- Tiệm cận đứng
- Tiệm cận ngang
- Tìm tọa độ giao điểm hoặc số giao điểm hai đồ thị
- Phương trình tiếp tuyến
15. Số phức và các yếu tố liên quan

B. Công thức toán hình 12
1. Khối đa diện và thể tích của chúng
Nội dung kiến thức:
- Mộ số hình phẳng cơ bản
- Tam giác vuông
- Tam giác đều
- Tam giác thường
- Hình vuông
- Hình chữ nhật
- Hình thoi
- Thể tích khối chóp
- Hình chóp
- Hình chóp tam giác đều
- Hình chóp tứ diện đều
- Hình chóp tứ giác đều
- Hình chóp có cạnh bên SA vuông góc với mặt phẳng đáy
- Hình chóp có mặt bên (SAB) vuông góc với mặt phẳng đáy
- Hình chóp
- Thế tích khối lăng trụ
- Hình lăng trụ thường
- Hình lăng trụ đứng
- Hình hộp

2. Mặt trụ – mặt nón – mặt cầu
Nội dung kiến thức:
- Công thức toán hình 12 Mặt nón
- Công thức toán hình 12 Mặt trụ
- Công thức toán hình 12 Mặt cầu
- Cách tìm bán kính mặt cầu ngoại tiếp hình chóp thường gặp
- Hình chóp có các đỉnh nhìn một cạnh dưới một góc vuông
- Hình chóp đều
- Hình chóp có cạnh bên vuông góc với mặt phẳng đáy
- Hình chóp có mặt bên vuông góc với mặt đáy

3. Hình học giải tích trong không gian
Nội dung kiến thức:
- Công thức toán hình 12 Hệ trục tọa độ Oxyz
- Công thức toán hình 12 Tọa độ vectơ
- Công thức toán hình 12 Tọa độ điểm
- Công thức toán hình 12 Tích có hướng của hai vectơ
- Công thức toán hình 12 Phương trình mặt cầu
- Công thức toán hình 12 Phương trình mặt phẳng
- Công thức toán hình 12 Vị trí tương đối giữa mặt phẳng và mặt cầu
- Phương trình đường thẳng
- Công thức toán hình 12 Vị trí tương đối giữa hai đường thẳng
- Công thức toán hình 12 Vị trí tương đối giữa đường thẳng và mặt phẳng
- Công thức toán hình 12 Khoảng cách từ điểm đến đường thẳng
- Công thức toán hình 12 Góc giữa hai đường thẳng
- Công thức toán hình 12 Góc giữa đường thẳng và mặt phẳng
- Hình chiếu và điểm đối xứng

Trên đây là Full công thức Toán 12 cơ bản – nâng cao | hình học, đại số học sinh cần phải nhớ.
Tham khảo thêm:
- Sơ đồ tư duy toán 12
