Trong toán học, khái niệm đa thức đóng vai trò quan trọng trong nhiều bài toán từ đơn giản đến nâng cao. Bậc của đa thức là gì lớp 8 – đây là yếu tố giúp xác định cấp độ của một đa thức, phản ánh số mũ cao nhất của biến trong biểu thức đó. Cùng với đó, việc thu gọn đa thức là gì cũng là một phần quan trọng, giúp học sinh đơn giản hóa các biểu thức toán học, rèn luyện tư duy logic và chuẩn bị nền tảng vững chắc cho các kiến thức nâng cao hơn.
Đa thức là gì?
Trong toán học, đa thức là một biểu thức đại số được tạo thành từ tổng của nhiều đơn thức. Mỗi đơn thức trong đa thức có thể chứa biến và hệ số, được liên kết với nhau bằng phép cộng hoặc trừ.
Tiếp theo, chúng ta cùng tìm hiểu bậc của đa thức là gì nhé. Bậc của đa thức được xác định bằng số mũ cao nhất của biến trong các hạng tử. Đây là yếu tố quan trọng giúp nhận diện đặc điểm và cách xử lý một đa thức trong các bài toán thực tế.

Khi làm việc với đa thức, người ta thường cần thu gọn chúng để biểu thức trở nên đơn giản hơn. Thu gọn đa thức là gì? Quá trình này bao gồm việc kết hợp các hạng tử giống nhau, giúp đơn giản hóa và làm rõ biểu thức, từ đó dễ dàng tính toán hơn.
Với những kiến thức trên, học sinh lớp 8 có thể hiểu sâu hơn về đa thức là gì lớp 8, đồng thời biết cách xử lý và biến đổi biểu thức một cách linh hoạt.
Sau khi tìm hiểu về các phép toán với đa thức, bạn có thể áp dụng những kiến thức này vào giải các bài tập hiệu quả hơn. Nếu bạn đang tìm kiếm một công cụ hỗ trợ mạnh mẽ, hãy khám phá các mẫu iPad mới nhất có tại CellphoneS để hỗ trợ nâng cao chất lượng giáo dục nhé. Tham khảo ngay!
[Product_Listing categoryid=”944″ propertyid=”” customlink=”https://cellphones.com.vn/tablet/ipad.html” title=”Các mẫu iPad đang được quan tâm nhiều tại CellphoneS”]Các phép toán với đa thức
Đa thức không chỉ được biểu diễn mà còn có thể tham gia vào nhiều phép toán khác nhau. Hiểu rõ đa thức là gì cho ví dụ sẽ giúp bạn nắm vững cách vận dụng các phép tính với đa thức, từ đó đơn giản hóa biểu thức và giải quyết nhiều bài toán quan trọng.
Cộng và trừ đa thức
Cộng và trừ đa thức là quá trình kết hợp hoặc loại bỏ các hạng tử đồng dạng để đơn giản hóa biểu thức. Khi thực hiện, ta nhóm các hạng tử có cùng biến và số mũ, sau đó tính tổng hoặc hiệu hệ số của chúng.

Ví dụ:
Cho hai đa thức
𝑃(𝑥) = 3×2+ 5x – 2 và Q(𝑥) = -x2+ 4x+ 3
Ta có:
𝑃(𝑥) + Q(𝑥) = (3×2- x2) + (5x + 4x) + (-2+3) = 2×2+9x+1
Nhân hai đa thức
Nhân hai đa thức là quá trình áp dụng quy tắc phân phối để nhân từng hạng tử của đa thức này với từng hạng tử của đa thức kia. Sau khi tính toán, ta nhóm các hạng tử đồng dạng lại với nhau, từ đó làm rõ đa thức là gì cho ví dụ cụ thể.
Ví dụ:
Cho 𝑃(𝑥) = 2x + 3 và Q(𝑥) = x -4
Kết quả nhân:
𝑃(𝑥) x Q(𝑥) = (2x ⋅ x) + (2x ⋅ -4) + (3 ⋅ x) + (3 ⋅ -4) = 2×2-8x+3x-12 = 2×2-5x-12
Chia đa thức cho đơn thức
Chia đa thức cho đơn thức là quá trình chia từng hạng tử của đa thức cho đơn thức và rút gọn kết quả. Sau khi thực hiện phép chia, ta phân tích và rút gọn từng hạng tử, từ đó làm rõ đa thức là gì cho ví dụ một cách trực quan và dễ hiểu, giúp việc tính toán trở nên đơn giản hơn.

Ví dụ:
Cho đa thức 𝑃(𝑥) = 6×2+ 9x và đơn thức 𝐷(𝑥) = 3x
Kết quả chia:
(6×2 + 9x)/ 3x= 6×2/ 3x + 9x/ 3x= 2x+3
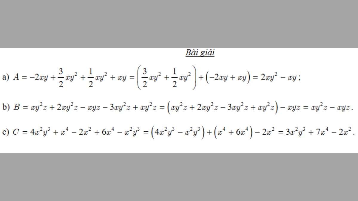
Bài tập ví dụ về đa thức có lời giải
Việc giải quyết các bài tập về đa thức giúp bạn hiểu rõ hơn về các phép toán và cách ứng dụng chúng trong giải bài toán cụ thể. Qua đó, bạn sẽ nắm vững cách làm việc với đa thức, từ cộng, trừ, nhân, đến chia, cùng với các phương pháp rút gọn và phân tích biểu thức.





Bằng cách áp dụng lý thuyết vào thực tế, các em học sinh sẽ dễ dàng nhận diện và xử lý các dạng bài tập đa thức khác nhau một cách chính xác và hiệu quả.
Hiểu rõ về đa thức không chỉ giúp bạn giải toán nhanh hơn mà còn củng cố tư duy toán học một cách bài bản. Khi nắm vững kiến thức về bậc của đa thức là gì lớp 8, bạn sẽ dễ dàng phân loại, xử lý các bài toán liên quan đến phương trình, bất phương trình. Đồng thời, thành thạo thu gọn đa thức là gì sẽ giúp bạn thao tác chính xác trong quá trình biến đổi biểu thức, làm chủ kỹ năng giải toán hiệu quả.
Xem thêm bài viết trong chuyên mục: Góc Học & Dạy 4.0
