Ở cấp 3, đặc biệt là các bạn học sinh lớp 12 phải nắm chắc kiến thức về hàm số mũ và hàm Logarit mới có thể hoàn thành tốt các kỳ thi quan trọng. Và hầu như năm nào cũng có 1 vài câu thi về chủ đề này. Để có thể hiểu rõ về lý thuyết, tính chất và cách giải phương trình vẽ đồ thị các bạn hãy theo dõi bài viết sau của Sforum.
Xem thêm: Hàm Hyperbolic là gì? Công thức và cách sử dụng hàm Hyperbolic

Hàm số mũ là gì?
Dựa vào kiến thức cấp 3, hàm số mũ là hàm số được viết theo dạng y= f(x) = ax. Trong đó, a là số thực 0 và khác 1, được gọi bằng hàm số mũ với cơ số a.
Lưu ý: Hàm Logarit là hàm ngược của hàm số mũ.
Nếu theo đạo hàm, hàm số mũ sẽ có công thức phụ thuộc vào 2 định lý dưới đây:

Hàm Logarit là gì?
Hàm Logarit là hàm số là hàm số có dạng y=logax được biểu thị dưới dạng Logarit. Hiểu đơn giản, Logarit là một phép toán nghịch đảo lại lũy thừa hoặc số lần lặp đi lặp lại của một phép nhân nào đó. Trong kiến thức THPT, ta có hàm số y=logax, được đọc là hàm số Logarit có cơ số a. Trong đó, a là số thực lớn hơn 0 và khác 1.

Tính chất hàm Logarit và hàm số mũ
Tính chất hàm số mũ
- Hàm số mũ phải có tập xác định là R.
- Có đạo hàm: ∀x∈R, y′=ax ln a.
- Có chiều biến thiên.
Để xác hàm số đồng biến hay nghịch biến, ta cần xét cơ số a:
- Nếu a lớn hơn 0 và bé hơn 1 (0
- Nếu a lớn hơn 1 (a1) thì hàm số mũ sẽ luôn luôn đồng biến.

Tính chất hàm Logarit
Công thức hàm Logarit y= logax (a khác 1 và lớn hơn 0)
Trong đó:
- TXĐ: (0;+∞)
- Đạo hàm y’=1/x ln a, ∀ x ∈ (0;+∞)
Có chiều biến thiên như sau:
- Đồng biến khi a lớn hơn 1 (a1)
- Nghịch biến khi a lớn 0 và bé hơn 1 (0

Đồ thị hàm mũ và hàm Logarit
Ban đầu, khi mới thực hiện vẽ hàm đồ thị thì bạn cần tuân thủ từng bước để không bị mắc lỗi. Nếu đã nắm vững kiến thức, bạn có thể tự do rút gọn để tối ưu thời gian làm bài.
Các bước vẽ đồ thị hàm số mũ
Bước 1: Khảo sát hàm số mũ.
Bước 2: Xác định tiệm cận bằng cách lập bảng biến thiên.
Bước 3: Vẽ đồ thị.
Các bạn cần lưu ý cơ số a để xác định hàm số nghịch biến hay đồng biến và chiều của đồ thị.
Để có thể hiểu rõ, mời các bạn theo dõi ví dụ sau đây:
Ví dụ: Hãy vẽ đồ thị hàm số của y=(3/2)x

Các bước vẽ đồ thị hàm Logarit
Bước 1: Tìm tập xác định từ hàm số đã được cho.
Bước 2: Xác định hàm số đồng biến hoặc nghịch biến theo công thức.
Bước 3: Vẽ đồ thị.
Để có thể hiểu rõ, mời các bạn theo dõi ví dụ sau đây: Ví dụ: Hãy vẽ đồ thị của hàm số y = log5x

Lưu ý khi sử dụng hàm Logarit
Để có thể xác định nhanh hàm số Logarit và hàm số mũ đồng biến hoặc nghịch biến, các bạn có thể áp dụng công 2 chú ý sau đây:
- Hàm số Logarit và hàm số mũ có cơ số a 1 thì luôn luôn đồng biến.
- Mặt khác, Hàm số Logarit và hàm số mũ có cơ số a < 1 thì luôn luôn nghịch biến
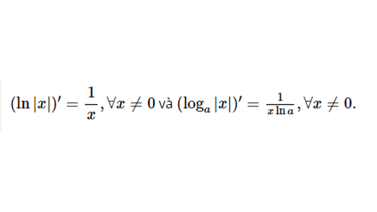
Sau đây là công thức mở rộng của đạo hàm Logarit:

Bài viết trên là toàn bộ lý thuyết, tính chất, ví dụ và cách vẽ đồ thị về hàm số mũ và hàm Logarit. Mong rằng qua những gì Sforum chia sẻ, bạn có thể áp dụng các công thức vào bài toán thành công. Sforum chúc bạn đạt điểm cao trong kỳ thi sắp tới.
- Xem thêm các bài viết khác về kiến thức toán học trong chủ đề Mẹo vặt
