Trong toán học, giá trị tuyệt đối của số âm là khái niệm quen thuộc nhưng không kém phần thú vị. Vậy nên nhiều người tìm hiểu cách tính, tính chất của giá trị tuyệt đối là gì để ứng dụng. Không chỉ xuất hiện trong các bài toán đơn giản, trị tuyệt đối còn là “bài toán” mang nhiều ứng dụng thực tiễn trong các lĩnh vực khác nhau.
Định nghĩa của giá trị tuyệt đối
Hiểu trị tuyệt đối một cách cơ bản: Trị tuyệt đối của một số thực x, ký hiệu là ∣x∣, được định nghĩa là khoảng cách từ số đó đến số 0 trên trục số. Điểm đặc biệt là trị tuyệt đối luôn không âm. Cụ thể:
- Nếu x≥0 thì ∣x∣=x.
- Nếu x<0 thì ∣x∣=−x.
Giải thích qua trục số: Hãy tưởng tượng bạn đứng ở số 0 trên một trục số. Khoảng cách từ bạn đến bất kỳ số nào trên trục, dù là số dương hay âm, đều được đo bằng giá trị tuyệt đối.
Ví dụ:
- |3| = 3, vì 3 cách 0 đúng 3 đơn vị.
- ∣−3∣=3, vì dù nằm bên trái số 0, khoảng cách vẫn là 3 đơn vị.
Để hiểu sâu hơn về khái niệm này, bạn có thể truy cập vào các website chuyên dạy về toán học. Chỉ với vài thao tác lướt website, bạn dễ dàng học thêm kiến thức. Tham khảo ngay một số dòng smartphone sau bởi chúng đang có giá “tốt”:
[Product_Listing categoryid=”35″ propertyid=”” customlink=”https://cellphones.com.vn/mobile/samsung.html” title=”Các dòng Samsung đang được quan tâm nhiều tại CellphoneS”]Tính chất của giá trị tuyệt đối
Những tính chất này đóng vai trò quan trọng trong việc biến đổi và giải các bài toán phức tạp liên quan đến trị tuyệt đối của số âm:
- Trị tuyệt đối của một số luôn không âm. Nghĩa là nó luôn lớn hơn hoặc bằng 0, bất kể x là số dương, âm hay bằng 0.
- Trị tuyệt đối chỉ bằng 0 khi bản thân số đó bằng 0. Đây là cách duy nhất để trị tuyệt đối đạt giá trị thấp nhất.
- Trị tuyệt đối của tích hai số bằng tích của trị tuyệt đối từng số. Tương tự, Trị tuyệt đối của thương hai số bằng thương của trị tuyệt đối từng số (miễn là mẫu số b khác 0). Đây là tính chất của giá trị tuyệt đối đòi hỏi người học chú ý.
- Tổng trị tuyệt đối của hai số luôn lớn hơn hoặc bằng trị tuyệt đối của tổng hai số đó. Đây là nguyên lý bất đẳng thức tam giác, một khái niệm quan trọng trong toán học và hình học.
- Hiệu trị tuyệt đối của hai số luôn lớn hơn hoặc bằng trị tuyệt đối của hiệu trị tuyệt đối của hai số đó. Điều này đảm bảo rằng khoảng cách giữa hai số không bao giờ nhỏ hơn sự chênh lệch tuyệt đối giữa độ lớn của chúng.

Một số dạng toán chứa dấu giá trị tuyệt đối
Áp dụng giải các bài toán về trị tuyệt đối đòi hỏi hiểu rõ lý thuyết và vận dụng linh hoạt vào từng dạng bài. Điểm qua các dạng bài dưới để bạn có cái nhìn cụ thể về phương pháp giải từng bài tập:
Tính giá trị tuyệt đối của một số
Dạng bài này là bước đầu tiên để làm quen với trị tuyệt đối. Nhiệm vụ là tính giá trị của ∣x∣ dựa vào định nghĩa cơ bản. Đặc điểm là các bài tập thuộc dạng này chỉ yêu cầu đơn giản cách tính giá trị tuyệt đối như so sánh hoặc nhận biết.
- Tính ∣−7∣: Ta biết −7<0, vậy ∣−7∣=−(−7)=7.
- Tương tự, ∣5∣=5, vì 5 đã là số không âm.
Dạng bài này không phức tạp. Nhưng chúng giúp bạn củng cố nền tảng cho các dạng nâng cao hơn.
Dạng phương trình giá trị tuyệt đối
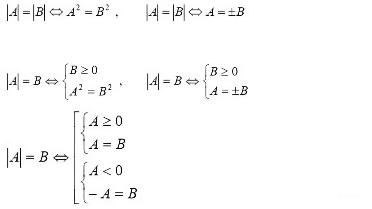
Phương trình trị tuyệt đối thường có dạng ∣f(x)∣=a, trong đó a≥0. Để giải, bạn phải tách thành hai trường hợp: f(x)=a và f(x)=−a. Đây là cách xử lý khi trị tuyệt đối bị loại bỏ, và kết quả luôn bao gồm hai nghiệm.
Ví dụ: Giải phương trình ∣x−2∣=3.
- Trường hợp 1: x−2=3 ⟹ x=5.
- Trường hợp 2: x−2=−3 ⟹ x=−1.
Kết luận: x=−1 hoặc x=5. Bước phân tích này sẽ lặp lại trong nhiều dạng bài khác.

Dạng phương trình chứa nhiều dấu giá trị tuyệt đối
Phương trình với nhiều dấu trị tuyệt đối phức tạp hơn vì cần chia trục số thành các khoảng, tương ứng với từng điều kiện dấu của các biểu thức. Trong mỗi khoảng, bạn loại bỏ dấu trị tuyệt đối rồi giải phương trình như thông thường. Khi xuất hiện nhiều dấu trị tuyệt đối, bạn cần xét từng trường hợp cụ thể, dựa vào việc ∣f(x) thay đổi thế nào khi f(x) chuyển từ dương sang âm.
Ví dụ: Giải ∣x−1∣+∣x−3∣=4.
- Chia trục số thành các khoảng: x<1, 1≤x<3, x≥3.
- Giải riêng từng khoảng, sau đó ghép nghiệm.
- Quy trình này đòi hỏi sự cẩn thận, vì chỉ cần bỏ sót một khoảng sẽ dẫn đến thiếu nghiệm.
Dạng bất phương trình chứa giá trị tuyệt đối
Đối với bất phương trình như ∣f(x)∣
- f(x)
- f(x)>−a.
Kết hợp hai kết quả để xác định miền nghiệm. Tương tự, với ∣f(x)∣> a, ta xét hai trường hợp: f(x)>a hoặc f(x)<−a.
Ví dụ: Giải bất phương trình ∣2x−1∣≤3.
- Trường hợp 1: 2x−1≤3 ⟹ 2x≤4 ⟹ x≤2.
- Trường hợp 2: 2x−1≥−3 ⟹ 2x≥−2 ⟹ x≥−1.
Kết luận: −1≤x≤2.
Dạng tìm giá trị lớn nhất, nhỏ nhất của biểu thức
Tìm giá trị lớn nhất hoặc nhỏ nhất của biểu thức chứa trị tuyệt đối thường đòi hỏi xét các trường hợp cụ thể hoặc sử dụng bất đẳng thức tam giác. Đặc biệt, dạng bài này thường khai thác tính đối xứng của trị tuyệt đối.
Ví dụ: Tìm min∣x−3∣+∣x−5∣.
- Ta xét x ở từng khoảng. Biểu thức đạt giá trị nhỏ nhất khi x nằm giữa 3 và 5, tức x=4.
- Khi đó: ∣4−3∣+∣4−5∣=1+1=2.
Kết luận: Giá trị nhỏ nhất là 2. Dạng bài này giúp rèn luyện tư duy logic, nhất là với các biểu thức phức tạp.

Cách tính giá trị tuyệt đối nhanh bằng máy tính cầm tay
Trong các kỳ thi, sử dụng máy tính cầm tay để tính trị tuyệt đối sẽ giúp bạn tiết kiệm thời gian. Từ đó nhiều thắc mắc liên quan đến câu hỏi abs là hàm gì. Đối với dòng máy phổ biến như Casio, bạn có thể làm như sau:
Bước 1: Đảm bảo máy tính được reset không ẩn lệnh cài đặt nào.

Bước 2: Sử dụng phím ∣x∣ hoặc Shift + hyp.
Bước 3: Nhập số cần tính như đề bài. Ví dụ như hình là phương trình trị tuyệt đối và đợi kết quả hiển thị.

Ví dụ thực tế: Tính ∣−8+5∣.
- Nhập −8+5 vào máy tính và chọn hàm trị tuyệt đối.
- Kết quả: ∣−3∣=3.
Trị tuyệt đối của số âm không chỉ là một khái niệm quen thuộc trong toán học mà còn là “cánh tay đắc lực” giúp bạn giải quyết nhiều bài toán. Nên hiểu cách tính, tính chất của giá trị tuyệt đối là gì, đến các dạng toán thường gặp và mẹo sử dụng máy tính cầm tay. Từ đó bạn sẽ tự tin hơn khi đối mặt với mọi bài toán liên quan đến trị tuyệt đối. Theo dõi Sforum hàng ngày để cập nhật thông tin mới nhất và những bài viết chủ đề giáo dục nhé!
Đọc bài viết cùng chủ đề tại: Góc Học & Dạy 4.0
