Gia tốc chính là một trong những đơn vị đo vô cùng quan trọng trong lĩnh vực Vật Lý học. Nhờ tính ứng dụng thực tiễn vô cùng to lớn của nó đối với rất nhiều các lĩnh vực khác của cuộc sống. Do đó mà câu hỏi được đặt ra với mọi người là gia tốc là gì? Hiện nay, trong lĩnh vực Vật Lý có bao nhiêu loại gia tốc và công thức tính gia tốc như thế nào cho chính xác. Hôm nay, những vấn đề này sẽ được chúng tôi giải đáp hết qua bài viết dưới đây, các bạn hãy theo dõi nha!
Gia tốc là gì?
Gia tốc là một đại lượng cơ bản trong Vật Lý dùng để mô tả các chuyển động của động cơ. Tương tư như vận tốc thì gia tốc cũng có hướng chuyển động. Chính vì vậy mà cũng được gọi là một đại lượng vectơ. Tức là nó sẽ vừa có hướng và vừa có cả độ lớn. Hướng của gia tốc của một vật bất kỳ đặt lên nó sẽ được xác định căn cứ dựa hướng của lực tác dụng lên vật đó.

Khi mà vật thể di chuyển chậm dần thì gia tốc sẽ mang một số âm. Độ lớn là tổng lượng của gia tốc trong trường hợp số. Khi mà vật chuyển động tăng tốc thì vectơ gia tốc mà cùng chiều với chiều chuyển động của vật , giảm độ lớn khi mà vectơ gia tốc ngược chiều với chiều chuyển động của vật. Đổi hướng khi mà vectơ gia tốc có phương khác với phương của chuyển động.
Quy ước ký hiệu trên toàn thế giới là “a”. Nó sẽ dựa theo hệ đơn vị đo của Quốc tế là Sl. Đơn vị đo cụ thể là m/s² tức là m/s trong mỗi giây
Ý nghĩa của nó chính là dùng để đo lường chuyển động của vật, thể hiện, cho thấy được sự thay đổi của vật về tốc độ di chuyển. Khi nhìn thấy gia tốc của vật thì chúng ta sẽ đánh giá được đối tượng đó có đang thay đổi vận tốc nhanh hay chậm không. Có phải đang chuyển động chậm dần đều hay nhanh dần đều.

Công thức tính gia tốc
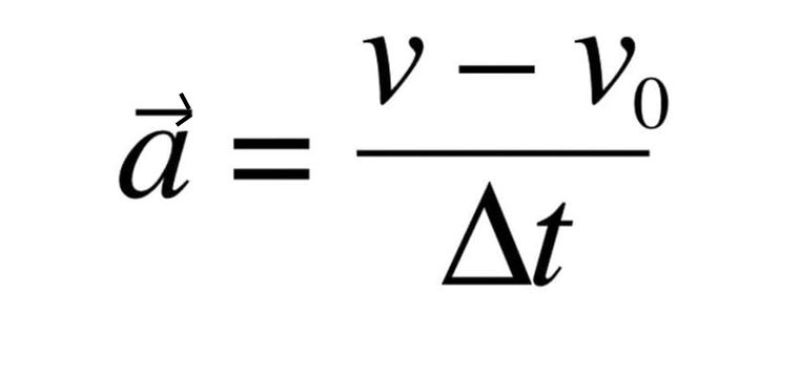
Công thức tính gia tốc tổng quát trong Vật lý được dùng để tính gia tốc của một vật bất kỳ nào đang chuyển động thẳng và không thay đổi chiều chuyển động sẽ được áp dụng công thức như sau:
Trong đó:
- v là chỉ vận tốc tức thời tại một thời gian t.
- v0: đây là chỉ vận tốc tức thời tại thời điểm t0.
- v1: là vận tức thời tại thời điểm t1.
- v2: chính là vận tốc tức thời tại thời điểm t2.
- t1 và t2: dùng để chỉ các mốc thời gian khác nhau.
- Δv = v2 – v1: biểu thức thể hiện sự biến thiên vận tốc của vật đang được xét.
- Δt = t2 – t1: cũng chính là khoảng thời gian mà vật thể chuyển từ vận tốc v1 sang vận tốc v2.
- m/s²: là đơn vị đo của gia tốc
Công thức tính cho gt góc sẽ là M=Iε
Nếu như chuyển động quay của một vật mà được dựa theo trục cố định thì khi mà ta áp dụng các định luật Newton cho chuyển động của nó thì ta sẽ có thể tiến hành viết ra các mối liên hệ giữa gt góc trong biểu thức là: ε với mômen lực của vật là M và mômen quán tính đối với trục quay của vật chính là I.
Phân loại các gia tốc cơ bản
Dưới đây là một số loại cơ bản mà chúng ta có thể sẽ gặp lại trong chương trình học cơ bản tại cấp bậc trung học phổ thông:
- Tức thời
- Trung bình
- Pháp tuyến
- Tiếp tuyến
- Toàn phần
- Trọng trường
Hãy cùng chúng tôi tìm hiểu cụ thể và chi tiết nhất từng loại cơ bản sau đây:
Gia tốc tức thời
Là đại diện cho sự thay đổi vận tốc của một vật thể bất kỳ trong khoảng một thời gian nhất định, tuy nhiên khoảng thời gian đó sẽ rất nhỏ.Được tính bằng công thức cụ thể như sau:
Trong đó:
- a: ký hiệu cho gt, có đơn vị đo là m/s².
- v: là ký hiệu của vận tốc có đơn vị đo mà m/s.
- T: là khoảng thời gian, có đơn vị đo là s
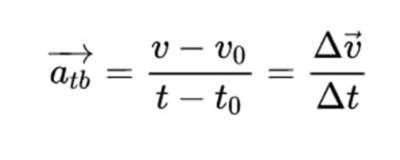
Gia tốc trung bình
Là trong một khoảng thời gian cụ thể nào đó sẽ chính là tỷ lệ giữa sự thay đổi vận tốc tại khoảng thời gian mà ta đang xét với khoảng thời gian đó. Hay nói một cách khác,chính là sự biến thiên của vận tốc đem chia cho sự biến thiên của thời gian. Đây chính là đạo hàm của vận tốc theo thời gian biến thiên và là đạo hàm bậc hai của vị trí các chất điểm theo thời gian mà ta xét. Chúng được thể hiện bằng công thức tính như sau:
Trong đó, ta có:
- atb: Chính là quy ước của gt trung bình
- v: dùng để chỉ vận tốc của vật thể được xác định tại thời điểm t
- v0: dùng để chỉ vận tốc của vật thể được xác định tại thời điểm t0
- Δv: dùng để chỉ sự thay đổi của vận tốc trong chuyển động
- Δt: dùng để chỉ thời gian mà vận tốc v0 trở thành v
Gia tốc hướng tâm
Chính là gia tốc của một vật mà có thể chuyển động trên một quỹ đạo là đường công. Nếu như ta xét hệ quy chiếu mà gắn với vật chuyển động hoặc vật đứng yên thì đang ở vị trí cân bằng với gia tốc tâm ly mà được gây ra bởi lực quán tính trong hệ quy chiếu. Như vậy sẽ hướng vào phía tâm cong của quỹ đạo vfa ngược hướng với tâm ly và nó sẽ có độ lớn bằng với độ lớn của gia tốc tâm ly. Chúng sẽ được thể hiện bằng công thức như sau:
Trong đó:
- w2: chính là tốc độ góc
- v: là tốc độ tức thời
- R: chính là độ dài bán kính cong
- a(ht): hướng tâm và có đơn vị đo là m/s2)
Nếu như mà trong trường hợp mà ta xét đơn giản chỉ là chuyển động tròn đều thì tốc độ vẫn sẽ luôn được giữ nguyên trên quỹ đạo là một đường tròn thì vả vận tốc v và bán kinh R sẽ mang giá trị không đổi và gia tốc hướng tâm cũng sẽ không thay đổi. Còn trong chuyển động tròn thì sẽ luôn luôn hướng vào tâm quay và nó sẽ phụ thuộc vào độ lớn, bán kính R và tốc độ quay của chính nó.
Gia tốc pháp tuyến
Chính là một đại lượng mà đặc trưng cho sự thay đổi và phương của vectơ vận tốc sẽ có:
- Phương vuông góc với phương tiếp tuyến của quỹ đạo.
- Chiều thì hướng về phía vùng lõm của quỹ đạo.
Công thức tính sẽ được thể hiện như sau:
Trong đó:
- v: chính là tốc độ tức thời và có đơn vị đo là m/s.
- R: là bán kính của đường cong và có đơn vị đo là m
Nếu như mà ta xét trường hợp đơn giản là chuyển động tròn đều và tốc độ giữ nguyên trên một quỹ đạo là đường tròn thì cả tốc độ v và bán kính R đều sẽ không đổi và gia tốc sẽ hướng tâm và không đổi.
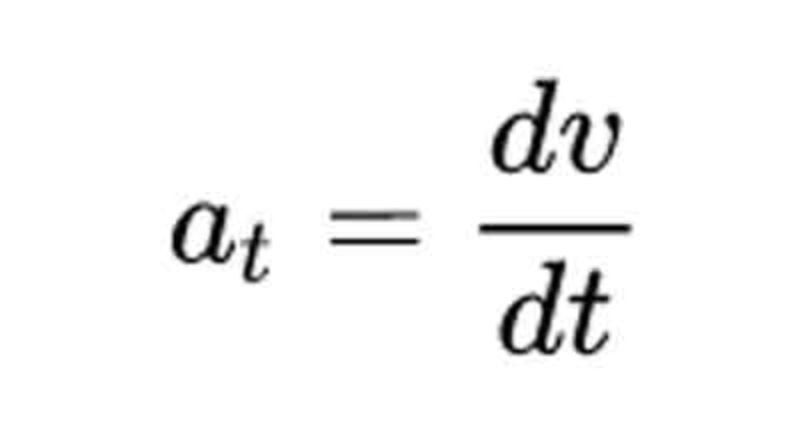
Gia tốc tiếp tuyến
Chính là dấu hiệu của đặc trưng cho sự thay đổi độ lớn của vectơ vận tốc.Tiếp tuyến sẽ có:
- Phương trùng với phương của tiếp tuyến
- Chiều của tiếp tuyến sẽ cùng với chuyển động nhanh dần và sẽ ngược chiều với chuyển động chậm dần.
Công thức tính tiếp tuyến được thể hiện như sau:
Trong đó:
- v: chính là tốc độ tức thời và có đơn vị đo là m/s
- t: là thời gian tức thời và có đơn vị đó là s.
Quan hệ giữa hai gia tốc là tiếp tuyến và pháp tuyến:
Nếu như một vật mà chuyển động trên quỹ đạo hình cong có gia tốc bao gồm cả hai thành phần đó là: gia tốc pháp tuyến an và gia tốc tiếp tuyến at. Thì khi đó: Gia tốc tiếp tuyến sẽ đặc trưng cho sự biến thiên về độ lớn của vận tốc theo thời gian còn gia tốc pháp tuyến thì đặc trưng cho sự biến thiên của phương vận tốc theo thời gian.
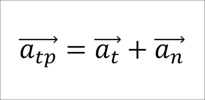
Gia tốc toàn phần
Chính là loại gia tốc tổng của hai loại gia tốc bao gồm tiếp tuyến và pháp tuyến căn cứ theo đại lượng vectơ. Chúng ta có công thức tính toàn phần cụ thể như sau:
Trong đó:
- atp: là toàn phần
- at: chính là tiếp tuyến
- an: chính là pháp tuyến
- Tất cả chúng đều có đơn vị đo là m/s²
Gia tốc trọng trường
Chính là đại lượng mà được sinh ra do lực hấp dẫn tác dụng lên một vật nào đó. Bỏ qua má sát do sức cản của không khí gây ra, theo nguyên lý tương đương thì mọi vật nhỏ mà chịu trong một trường hấp dẫn là giống nhau so với tâm của trọng lượng. Điều này hoàn toàn có thể đúng bất kể các vật có khối lượng khác nhau hay thành phần của chúng như thế nào.
Tại các vị trí bất kỳ khác nhau trên Trái đất, các vật rơi đều với gia tốc nằm trong khoảng 9,78 và 9,83 m/s2 sẽ phụ thuộc vào độ cao với giá trị tiêu chuẩn bằng 9.80665 m/s2. Các vật có mật độ nhỏ không chịu cùng như các vật nặng hơn do có lực đẩy nổi và sức cản không khí tác động vào.
Auvietco.vn đã thống kê toàn bộ thông tin mà chúng tôi muốn chia sẻ với tất cả các bạn. Hy vọng những thông tin mà chúng tôi cung cấp sẽ giúp cho các bạn có thêm thật nhiều các kiến thức bổ ích trong lĩnh vực Vật lý.
BÀI VIẾT KHÁC BẠN CÓ THỂ QUAN TÂM
- Quán tính – Lực quán tính và những kiến thức cần biết
- Áp lực là gì? Định nghĩa chính xác nhất về áp lực
- Tốc độ gió là gì? Các yếu tố ảnh hưởng đến tốc độ gió
- Hệ số ma sát là gì? Lực ma sát là gì?
Cập nhật lúc 13:56 – 14/02/2023
