1. Mặt cầu là gì?
Trước khi đi vào chi tiết lý thuyết phương trình mặt cầu trong không gian, học sinh cần nắm vững định nghĩa mặt cầu trước tiên. Theo chương trình hình học THPT, mặt cầu được định nghĩa là tập hợp các điểm cách đều một khoảng không đổi một điểm cho trước. Khoảng cách cố định đó được gọi là bán kính. Tâm mặt cầu là điểm cho trước.
Ngoài ra, mặt cầu còn được định nghĩa theo mặt tròn xoay, khi đó mặt cầu chính là mặt tròn xoay khi quay đường tròn quanh một đường kính.
2. Phương trình mặt cầu trong không gian có mấy dạng?
2.1. Phương trình mặt cầu dạng tổng quát
Cho không gian Oxyz có mặt cầu S thỏa mãn điều kiện:
. Ta có phương trình cơ bản của (S) như sau:
(1)
Từ phương trình cơ bản, ta có công thức tính bán kính của (S) như sau:
2.2. Phương trình mặt cầu chính tắc
Ngoài ra, khi biết bán kính R, tâm I(a;b;c) thì mặt cầu S trong không gian Oxyz có phương trình chính tắc như sau:
3. Cách viết phương trình mặt cầu dễ hiểu nhất
3.1. Phương trình mặt cầu và mặt phẳng
Cho mặt cầu:
có tâm I(a;b;c) và R là bán kính
tâm I (a;b;c)
là bán kính.
Ta có công thức tính khoảng cách từ tâm mặt cầu đến mặt phẳng để xét vị trí tương đối giữa mặt phẳng và mặt cầu:

3.2. Phương trình mặt cầu ở vị trí tiếp xúc với đường thẳng
Mặt phẳng tiếp xúc mặt cầu
d(I,(P))=R và mặt phẳng (P) đồng thời là tiếp diện của mặt cầu. Khi đó, tọa độ hình chiếu của mặt cầu và mặt phẳng là điểm tiếp xúc H của mặt cầu và mặt phẳng, kí hiệu là vector IH (vectơ pháp tuyến của mặt phẳng (P)).
Đăng ký ngay để được các thầy cô tư vấn và xây dựng kế hoạch ôn tập kiến thức hình học không gian hiệu quả nhất

4. Tổng hợp các phương pháp giải bài tập về phương trình mặt cầu
4.1. Dạng 1: Viết phương trình mặt cầu biết tâm và bán kính
Các bước giải phương trình mặt cầu tổng quát:
Cách 1: Viết phương trình mặt cầu dạng chính tắc
-
Bước 1: Xác định tâm O(a;b;c)
-
Bước 2: Tìm bán kính của (S) là R
-
Bước 3: Mặt cầu (S) có tâm O(a;b;c) và bán kính R có dạng phương trình:

Cách 2: Cách viết phương trình mặt cầu dưới dạng tổng quát
-
Bước 1: Phương trình

-
Bước 2: Với khi phương trình (S) hoàn toàn xác định.
Chúng ta cùng xét ví dụ minh họa sau đây để hiểu hơn về phương pháp giải bài toán viết phương trình mặt cầu khi biết tâm và bán kính.
Ví dụ: Cho đường kính AB, A(2;1;3) và B(0;-3;1). Tìm dạng công thức phương trình mặt cầu?
Giải:
4.2. Dạng 2: Viết phương trình mặt cầu biết tâm và 1 điểm
Đối với dạng bài này, ta dễ dàng tính được bán kính của mặt cầu bằng cách tính độ dài vector từ tâm cho đến điểm mà mặt cầu đi qua. Sau đó, ta áp dụng cách giải như dạng 1.
Ví dụ minh họa: Cho phương trình mặt cầu (S) có tâm I(1;2;-3) và đi qua điểm A(1;0;4). Viết phương trình mặt cầu (S) đó?
Giải:
4.3. Dạng 3: Tìm dạng tổng quát của phương trình mặt cầu ngoại tiếp tứ diện
Phương pháp giải:
Bước 1: Gọi I(x;y;z) là tâm của mặt cầu (S)
Bước 2: Lập luận do mặt cầu đề bài có đặc điểm là ngoại tiếp tứ diện ABCD, nên IA=IB=IC=ID
Bước 3: Kết luận tọa độ điểm I, từ đó suy ra độ dài bán kính và đưa về dạng 1 cơ bản.
Để hiểu hơn, các em học sinh cùng xem xét ví dụ minh họa sau đây:
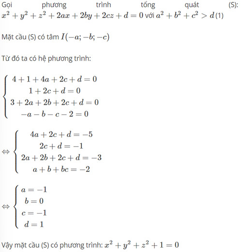
Ví dụ: Viết phương trình mặt cầu ngoại tiếp tứ diện ABCD biết tọa độ 3 điểm A(6;-2;3), B(0;1;6), C(2;0;-1), D(4;1;0).
Giải:
4.4. Dạng 4: Từ 4 điểm OABC viết phương trình mặt cầu
Dạng toán này còn có biến thể khác về đề bài đó là: Viết phương trình mặt cầu (S) qua 3 điểm A, B, C và có tâm thuộc mặt phẳng (P) cho trước.
Các bước giải như sau:
Bước 1: Gọi tâm mặt cầu I(a, b, c) thuộc mặt phẳng (P)
Bước 2: Lập hệ phương trình
Bước 3: Giải hệ phương trình đã lập ở bước 2, sau đó thay vào 1 trong 2 phương trình để tìm bán kính mặt cầu.
Các em học sinh cùng VUIHOC xét ví dụ minh họa sau đây:
Ví dụ: Cho 3 điểm A(2;0;1), B(1;0;0), C(1;1;1). Viết phương trình mặt cầu (S) có tâm thuộc mặt phẳng (P): x+y+z-2=0.
Giải:
Nắm chắc mọi dạng bài liên quan tới hình cầu với khóa PAS THPT
4.5. Dạng 5: Phương trình mặt cầu đi qua 4 điểm
Ở dạng bài viết phương trình mặt cầu khi biết 4 điểm mà mặt cầu đó đi qua, chúng ta sử dụng phương pháp lập hệ phương trình 4 ẩn giống dạng 4 để tiến hành giải phương trình.
Ví dụ minh họa: Cho 4 điểm A(2;0;0), B(1;3;0), C(-1;0;3), D(1;2;3) đều đi qua mặt cầu (S). Bán kính R của mặt cầu (S) là bao nhiêu?
Giải:
4.6. Dạng 6: Cho 2 điểm viết phương trình mặt cầu
Dạng toán này tương tự với dạng viết phương trình mặt cầu (S) có đường kính AB cho trước. Phương pháp giải dạng toán này cụ thể như sau:
Bước 1: Tìm trung điểm AB, tâm I trung điểm của AB chính là tâm của mặt cầu
Bước 2: Tính IA=R
Bước 3: Đưa về dạng 1 giải rồi kết luận
Bài tập ví dụ minh họa: Viết phương trình mặt cầu đường kính AB khi biết 2 điểm A(-2;1;0) và B(2;3;-2).
Giải:
Đăng ký ngay để nhận bí kíp nắm trọn kiến thức và phương pháp giải mọi dạng bài tập Toán THPT Quốc Gia ngay!
4.7. Dạng 7: Tìm điều kiện, tìm giá trị m để phương trình là mặt cầu
Nhìn chung, đây là dạng toán phương trình mặt cầu nâng cao so với các dạng bài tập thông thường khác. Ở dạng này, học sinh áp dụng các điều kiện và tính chất nhận biết phương trình mặt cầu như
để giải
Ví dụ minh họa: Trong không gian với hệ tọa độ Oxyz, tìm m để là một phương trình mặt cầu.
Giải:
Bài viết trên đã tổng hợp toàn bộ lý thuyết cũng như các dạng toán thường gặp về phương trình mặt cầu. Hy vọng các em học sinh sẽ tiếp thu và bổ sung thêm những phần kiến thức về mặt cầu còn thiếu và giải bài tập thành thạo hơn. Truy cập ngay Vuihoc.vn để đăng ký tài khoản hoặc liên hệ trung tâm hỗ trợ để ôn tập nhiều hơn về các dạng toán 12 nhé!
