Nhằm mang đến nguồn tài liệu cho các bạn học sinh lớp 12 thuận tiện tham khảo và ôn tập trước kỳ thi tốt nghiệp THPT 2024, Trường Đại học CMC tổng hợp và chia sẻ một số đề thi chính thức môn Tiếng Anh trong kỳ thi tốt nghiệp THPT Quốc gia qua từng năm, có đáp án trong bài viết sau. Để chinh phục mục tiêu điểm số 9+ trong kỳ thi tốt nghiệp THPT 2024, các sĩ tử đừng bỏ qua các đề thi này trong quá trình ôn luyện nhé!
Tổng hợp trang cập nhật đề chính thức của 9 môn thi và đáp án tham khảo tất cả các mã đề (sau khi Kỳ thi tốt nghiệp THPT năm 2025 diễn ra)
- Đề thi chính thức và đáp án tham khảo môn Toán – Kỳ thi tốt nghiệp THPT 2025;
- Đề thi chính thức và gợi ý lời giải tham khảo môn Ngữ Văn – Kỳ thi tốt nghiệp THPT 2025;
- Đề thi chính thức và đáp án tham khảo môn Tiếng Anh – Kỳ thi tốt nghiệp THPT 2025;
- Đề thi chính thức và đáp án tham khảo môn Vật Lí – Kỳ thi tốt nghiệp THPT 2025;
- Đề thi chính thức và đáp án tham khảo môn Hóa Học – Kỳ thi tốt nghiệp THPT 2025;
- Đề thi chính thức và đáp án tham khảo môn Sinh Học – Kỳ thi tốt nghiệp THPT 2025;
- Đề thi chính thức và đáp án tham khảo môn Lịch Sử – Kỳ thi tốt nghiệp THPT 2025;
- Đề thi chính thức và đáp án tham khảo môn Địa Lí – Kỳ thi tốt nghiệp THPT 2025;
- Đề thi chính thức và đáp án tham khảo môn GDCD – Kỳ thi tốt nghiệp THPT 2025.
Đề thi chính thức môn Anh – Kỳ thi tốt nghiệp THPT năm 2023 và đáp án
⚠️ HOT: Trọn bộ 50+ đề thi thử tiếng Anh kì thi tốt nghiệp THPT theo cấu trúc mới từ năm 2025
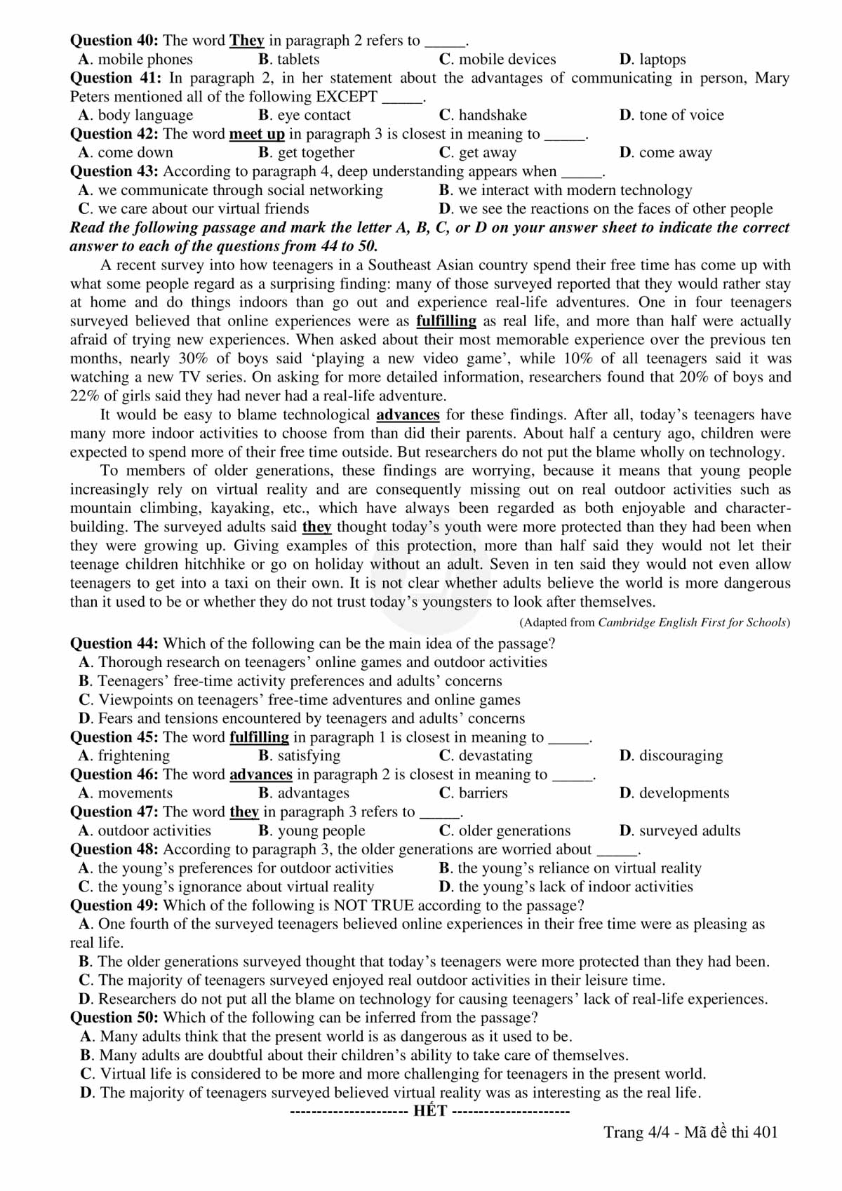
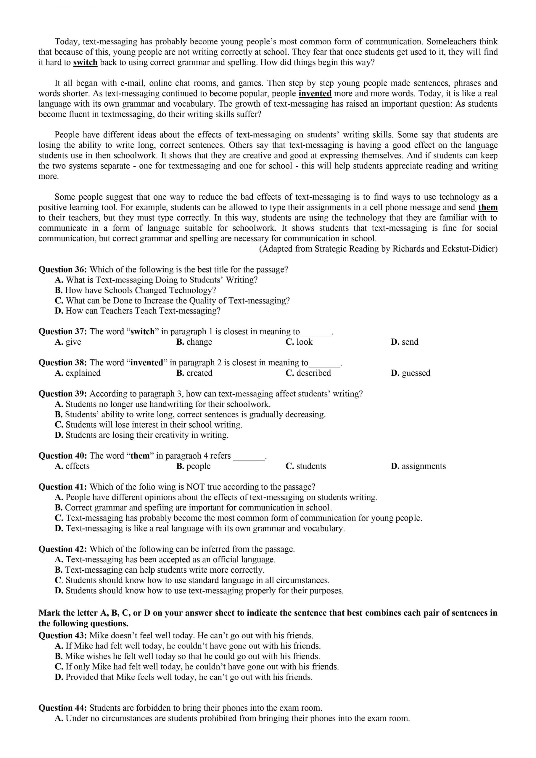
Dưới đây là đề thi chính thức môn Anh – Kỳ thi tốt nghiệp THPT năm 2023 mã đề 401. Các sĩ tử vui lòng tham khảo đề và đáp án tại các ảnh sau.





Đề thi chính thức môn Anh – Kỳ thi tốt nghiệp THPT năm 2022 và đáp án
Dưới đây là đề thi chính thức môn Anh – Kỳ thi tốt nghiệp THPT năm 2022 mã đề 401. Các sĩ tử vui lòng tham khảo đề và đáp án tại các ảnh sau.





Đề thi chính thức môn Anh – Kỳ thi tốt nghiệp THPT năm 2021 và đáp án
Dưới đây là đề thi chính thức môn Anh – Kỳ thi tốt nghiệp THPT năm 2021 mã đề 401. Các sĩ tử vui lòng tham khảo đề và đáp án tại các ảnh sau.





Đề thi chính thức môn Anh – Kỳ thi tốt nghiệp THPT năm 2020 và đáp án
Dưới đây là đề thi chính thức môn Anh – Kỳ thi tốt nghiệp THPT năm 2020 mã đề 401. Các sĩ tử vui lòng tham khảo đề và đáp án tại các ảnh sau.





Đề thi chính thức môn Anh – Kỳ thi tốt nghiệp THPT năm 2019 và đáp án
Dưới đây là đề thi chính thức môn Anh – Kỳ thi tốt nghiệp THPT năm 2019 mã đề 401. Các sĩ tử vui lòng tham khảo đề và đáp án tại các ảnh sau.






Đề thi chính thức môn Anh – Kỳ thi tốt nghiệp THPT năm 2018 và đáp án
Dưới đây là đề thi chính thức môn Anh – Kỳ thi tốt nghiệp THPT năm 2018 mã đề 401. Các sĩ tử vui lòng tham khảo đề và đáp án tại các ảnh sau.






[MỚI CẬP NHẬT] Tổng hợp đề tham khảo 15 môn thi trong Kỳ thi tốt nghiệp THPT năm 2024 được Bộ GD&ĐT công bố
- Đề tham khảo môn Toán – Kỳ thi tốt nghiệp THPT 2024.
- Đề tham khảo môn Văn – Kỳ thi tốt nghiệp THPT 2024.
- Đề tham khảo môn tiếng Anh – Kỳ thi tốt nghiệp THPT 2024
- Đề tham khảo môn Lý – Kỳ thi tốt nghiệp THPT 2024
- Đề tham khảo môn Hóa – Kỳ thi tốt nghiệp THPT 2024
- Đề tham khảo môn Sinh – Kỳ thi tốt nghiệp THPT 2024
- Đề tham khảo môn Sử – Kỳ thi tốt nghiệp THPT 2024
- Đề tham khảo môn Địa – Kỳ thi tốt nghiệp THPT 2024
- Đề tham khảo môn GDCD – Kỳ thi tốt nghiệp THPT 2024
- Đề tham khảo môn tiếng Nga – Kỳ thi tốt nghiệp THPT 2024
- Đề tham khảo môn tiếng Pháp – Kỳ thi tốt nghiệp THPT 2024
- Đề tham khảo môn tiếng Đức – Kỳ thi tốt nghiệp THPT 2024
- Đề tham khảo môn tiếng Trung – Kỳ thi tốt nghiệp THPT 2024
- Đề tham khảo môn tiếng Nhật – Kỳ thi tốt nghiệp THPT 2024
- Đề tham khảo môn tiếng Hàn – Kỳ thi tốt nghiệp THPT 2024
Sở hữu IELTS 6.0 trở lên – cơ hội trúng tuyển thẳng hoặc quy đổi điểm thi khi xét tuyển vào Trường Đại học CMC
Năm 2024, Trường Đại học CMC công bố phương thức xét tuyển thẳng với các tiêu chí được phân loại thành 08 đối tượng. Một trong những đối tượng được tham gia xét tuyển thẳng vào Trường Đại học CMC đó là thí sinh sở hữu chứng chỉ tiếng Anh IELTS 6.0 trở lên hoặc tương đương. Thí sinh tham khảo các chứng chỉ ngoại ngữ tương đương với chứng chỉ tiếng Anh IELTS 6.0 tại bảng sau.

Ngoài phương thức xét tuyển thẳng, thí sinh sở hữu chứng chỉ ngoại ngữ quốc tế khi đăng ký xét tuyển tại Trường Đại học CMC có thể sử dụng để quy đổi điểm cho điểm thi môn ngoại ngữ khi lựa chọn phương thức CMC410 – xét tuyển kết hợp kết quả học tập bậc THPT (học bạ) với chứng chỉ quốc tế (CCQT). Cụ thể, thí sinh chọn một trong hai cách sau đây:
Cách 1: Điểm xét tuyển là kết hợp điểm quy đổi CCQT (thay môn ngoại ngữ) với điểm TB học bạ cả năm lớp 11 và HK1 lớp 12 theo tổ hợp môn xét tuyển, không cộng điểm ưu tiên.
Điểm xét tuyển = [(Điểm quy đổi CCQT) × 2 + Điểm TB môn 2 + Điểm TB môn 3] × 3 / 4.
Trong đó, điểm TB môn được tính như sau:
Điểm TB môn = (Điểm TB môn lớp 11 + Điểm TB môn HK1 lớp 12) / 2.
Cách 2: Điểm xét tuyển là kết hợp điểm quy đổi CCQT với điểm TB học bạ cả năm lớp 12 theo tổ hợp môn xét tuyển, không cộng điểm ưu tiên.
Điểm xét tuyển = [(Điểm quy đổi CCQT) × 2 + Điểm TB môn 2 + Điểm TB môn 3] × 3 / 4.
Để quy đổi điểm thi cho môn thi ngoại ngữ khi xét tuyển với phương thức CMC410, thí sinh sở hữu chứng chỉ tiếng Anh IELTS, TCF, JLPT hoặc TOPIK quy đổi điểm theo thông tin tại bảng sau.

Lợi thế “vàng” để nhận học bổng toàn phần từ quỹ học bổng “CMC – Vì bạn xứng đáng” trị giá 96 tỷ đồng năm 2024
Không chỉ có lợi thế trúng tuyển thẳng hoặc quy đổi điểm cho môn ngoại ngữ khi xét tuyển vào Trường Đại học CMC năm 2024, các thí sinh sở hữu chứng chỉ ngoại ngữ quốc tế còn có cơ hội giành học bổng lên đến 100% học phí toàn khóa học. Trong năm 2024, Trường Đại học CMC dành hơn 400 suất học bổng và hàng trăm ưu đãi từ quỹ “CMC – Vì bạn xứng đáng” tổng trị giá 96 tỷ đồng cho những thí sinh có thành tích học tập xuất sắc. Trong đó, 50 suất học bổng toàn phần có trị giá 100% học phí toàn khóa; 100 và 250 suất lần lượt hỗ trợ 70% và 50% học phí toàn khóa.
Điều kiện để tham gia xét học bổng “CMC Khai phóng” trị giá 100% học phí toàn khóa học là thí sinh có chứng chỉ tiếng Anh IELTS 7.5 trở lên hoặc tương đương. Trong đó, thí sinh phải có kết quả học tập HK1 lớp 12 không có môn nào dưới 8,00 điểm trong tổ hợp xét tuyển.
Một trong những tiêu chí để tham gia xét học bổng “CMC Sáng tạo” trị giá 70% học phí toàn khóa học đó là thí sinh có chứng chỉ ngoại ngữ tiếng Anh IELTS 7.0 trở lên hoặc tương đương. Trong đó, thí sinh phải có kết quả học tập HK1 lớp 12 không có môn nào dưới 8,00 điểm trong tổ hợp xét tuyển.
Đối với học bổng “CMC Tiên phong” trị giá 50% học phí toàn khóa học, thí sinh có chứng chỉ ngoại ngữ tiếng Anh IELTS 6.5 trở lên hoặc tương đương đủ điều kiện để tham gia đăng ký xét học bổng. Trong đó, thí sinh phải có kết quả học tập HK1 lớp 12 không có môn nào dưới 8,00 điểm trong tổ hợp xét tuyển.
Vì số lượng học bổng có hạn và các đợt xét tuyển có thể kết thúc sớm hơn dự kiến, các thí sinh càng gửi hồ sơ xét tuyển sớm sẽ càng có lợi thế nhận học bổng. Có thể thấy, các phương thức xét tuyển sớm mang đến nhiều ưu thế trong cuộc đua vào đại học đầy cạnh tranh năm 2024, thu hút được nhiều thí sinh an tâm lựa chọn. Vậy các sĩ tử còn chần chừ gì nữa mà không “chớp” lợi thế trúng tuyển đại học sớm với phương thức xét tuyển sớm ngay thôi nào!
Xem thêm:
- Hướng dẫn đăng ký xét tuyển học bạ trực tuyến vào Trường Đại học CMC năm 2024
- Quy đổi điểm IELTS để xét tuyển vào Trường Đại học CMC năm 2024 như thế nào?
- Chính sách học bổng và ưu đãi 2024 – Trường Đại học CMC
Trên đây là bài viết tổng hợp đề thi chính thức và đáp án môn Tiếng Anh tốt nghiệp THPT Quốc gia các năm. Chúc các sĩ tử ôn tập thật tốt để có thêm kiến thức và đạt kết quả cao trong kỳ thi quan trọng sắp tới!
Với lợi thế sở hữu các chứng chỉ ngoại ngữ quốc tế, các sĩ tử hãy nhanh tay đăng ký xét tuyển ngay tại trang: https://xettuyen.cmcu.edu.vn/ để tự tin trúng tuyển ngành học yêu thích và giành lợi thế xét học bổng giảm 100% học phí từ Trường Đại học CMC nhé!

