Trong quá trình ôn luyện cho kỳ thi THPT Quốc gia, việc nắm vững cấu trúc đề, đồng thời làm quen với các dạng câu hỏi là một bước mà các sĩ tử lớp 12 không thể bỏ qua. Trong bài viết này, tác giả sẽ cung cấp đáp án và giải đề tiếng Anh THPT Quốc gia 2023 chi tiết.
Key takeaways:
-
Đề thi tiếng Anh THPT Quốc gia 2023 gồm 50 câu hỏi và thời gian làm bài 60 phút.
-
Các dạng bài bao gồm: câu hỏi phát âm, trọng âm, từ vựng và ngữ pháp, giao tiếp, tìm lỗi sai, nối câu, chọn câu có nghĩa tương đồng, điền từ thích hợp vào chỗ trống và đọc hiểu.
-
Đáp án và giải thích chi tiết theo khung: giải thích chủ điểm ngữ pháp có xuất hiện và dịch nghĩa.
Cùng chủ đề:
-
Đáp án Tiếng Anh THPT Quốc gia 2024 đầy đủ cho 24 mã đề
-
Giải đề thi tiếng Anh THPT Quốc gia 2024 chi tiết & dễ hiểu
-
Giải đề minh họa tiếng Anh THPT Quốc gia 2024 chi tiết.
Đề thi tiếng Anh THPT Quốc gia 2023
Đề thi tiếng Anh THPT Quốc gia 2023 bao gồm 50 câu hỏi và yêu cầu thí sinh hoàn thành trong 60 phút. Cấu trúc đề thi tiếng Anh THPT Quốc gia 2023 được phân bổ thành các phần như sau:
-
Câu hỏi phát âm – 2 câu
-
Câu hỏi trọng âm – 2 câu
-
Câu hỏi từ vựng và ngữ pháp – 19 câu
-
Câu hỏi về giao tiếp – 2 câu
-
Tìm lỗi sai – 3 câu
-
Chọn câu có nghĩa tương đồng – 3 câu
-
Câu hỏi nối câu – 2 câu
-
Điền từ thích hợp vào chỗ trống – 5 câu
-
Đọc hiểu – 12 câu.
Để giải đề tiếng Anh THPT Quốc gia 2023, thí sinh cần có nền tảng kiến thức cơ bản chắc chắn và kỹ năng đọc hiểu tốt trong giải quyết bài tập phần từ vựng, ngữ pháp và đọc hiểu.
Download đề thi THPT Quốc gia 2023 môn tiếng Anh PDF: tại đây.
Cách giải đề thi môn tiếng Anh THPT Quốc gia 2023
Đáp án mã đề 401

Giải thích đáp án
Dưới đây, tác giả cung cấp cách giải đề tiếng Anh THPT Quốc gia 2023 chi tiết bao gồm: giải thích chủ điểm ngữ pháp có xuất hiện và dịch nghĩa.
Câu 1-15

Đánh dấu chữ cái A, B, C hoặc D để chỉ ra câu hoàn chỉnh nhất để hoàn thành đoạn hội thoại.
Câu 1: D. Can you pass the salt, please?
Dịch:
Hồng và Mike đang ở quán ăn của trường học.
Hồng: “Bạn làm ơn có thể đưa tôi muối được không?”
Mike: “Của bạn đây”
Câu 2: A. I quite agree with you.
Dịch:
Peter và Khánh đang nói về việc học ngoại ngữ.
Peter: “Mình nghĩ học sinh nên học hai ngoại ngữ khi còn đi học.”
Khanh: “Mình hoàn toàn đồng ý với bạn. Việc đó giúp cho họ có thể giao tiếp với nhiều người hơn và mở rộng tầm nhìn của mình.”
Tìm hiểu thêm: Cách làm dạng bài chức năng giao tiếp tiếng Anh THPT Quốc gia.
Đánh dấu chữ cái A, B, C hoặc D để chỉ ra từ có phần được gạch chân phát âm khác với ba từ còn lại trong mỗi câu hỏi sau đây.
Câu 3: C. sport.
Giải thích:
-
A. post /poʊst/ → “o” trong “post” được phát âm là /oʊ/.
-
B. cold /koʊld/ → “o” trong “cold” được phát âm là /oʊ/.
-
C. sport /spɔːrt/ → “o” trong “sport” được phát âm là /ɔː/.
-
D. home /hoʊm/ → “o” trong “home” được phát âm là /oʊ/.
Câu 4: A. chorus.
Giải thích:
-
A. chorus /ˈkɔːrəs/ -> “ch”trong “post” được phát âm là /k/.
-
B. chairman /ˈtʃeərmən/ -> “ch”trong “chairman” được phát âm là /tʃ/.
-
C. chicken /ˈtʃɪkɪn/ -> “ch”trong “chicken” được phát âm là /tʃ/.
-
D. children /ˈtʃɪldrən/ -> “ch”trong “children” được phát âm là /tʃ/.
Đánh dấu chữ cái A, B, C hoặc D để chỉ ra từ có vị trí trọng âm khác với ba từ còn lại trong mỗi câu hỏi sau đây.
Câu 5: D. confident.
Giải thích: “confident” có trọng âm rơi vào âm tiết 1, những từ khác là âm tiết thứ 2.
Câu 6: D. follow.
Giải thích: “follow” có trọng âm rơi vào âm tiết 1, những từ khác là âm tiết thứ 2.
Tìm hiểu thêm: Cách làm dạng bài ngữ âm trong bài thi THPT Quốc gia.
Đánh dấu chữ cái A, B, C hoặc D để chỉ ra từ/cụm từ CÓ NGHĨA GẦN VỚI từ/cụm từ được gạch chân trong mỗi câu hỏi sau đây.
Câu 7: C. messy.
Giải thích: “chaotic” có nghĩa là hỗn loạn, lộn xộn. Trong khi đó, các từ trong 4 phương án có nghĩa như sau:
-
A. organised (tổ chức, có trật tự).
-
B. tidy (gọn gàng, ngăn nắp).
-
C. messy (bừa bộn, lộn xộn).
-
D. neat (sạch sẽ, gọn gàng).
Câu 8: C. intends
Giải thích: “plan” có nghĩa là dự định, kế hoạch. Trong khi đó, các từ trong 4 phương án có nghĩa như sau:
-
A. leaves: rời đi, ra đi, rụng lá (tùy vào ngữ cảnh).
-
B. moves: di chuyển, chuyển động.
-
C. intends: dự định, có ý định.
-
D. quits: từ bỏ, chấm dứt.
Đánh dấu chữ cái A, B, C hoặc D trên tờ trả lời của bạn để chỉ ra từ/cụm từ CÓ NGHĨA TRÁI NGHĨA với từ/cụm từ được gạch chân trong mỗi câu hỏi sau đây.
Câu 9: A. accepted.
Giải thích: “denied” có nghĩa là từ chối. Trong khi đó, các từ trong 4 phương án có nghĩa như sau:
-
A. accepted: được chấp nhận.
-
B. refused: bị từ chối.
-
C. avoided: tránh.
-
D. neglected: bị bỏ bê, không chăm sóc.
Câu 10: C. fair and kind.
Giải thích: “below the belt” có nghĩa là xúc phạm và bất công. Trong khi đó, các từ trong 4 phương án có nghĩa như sau:
-
A. fair and unkind: công bằng nhưng không tốt tính.
-
B. fair and cruel: công bằng nhưng tàn nhẫn.
-
C. fair and kind: công bằng và tử tế.
-
D. cruel and kind: tàn nhẫn và tử tế.
Xem thêm: Tìm từ đồng nghĩa – trái nghĩa trong bài thi Tiếng Anh THPT Quốc gia.
Đánh dấu chữ cái A, B, C hoặc D để chỉ ra câu trả lời đúng cho mỗi câu hỏi sau đây.
Câu 11: D. was attended.
Giải thích: Kiến thức cấu trúc câu bị động (Passive voice) với thì quá khứ đơn: S + was/were + PII. Chủ ngữ là danh từ số ít “conference” nên đáp án là “was attended”.
Dịch: Hội nghị Thanh niên Quốc tế đã được tham dự bởi rất nhiều người trẻ từ khắp nơi trên thế giới.
Câu 12: A. was driving.
Giải thích: Sự phối hợp thì (Sequence Of Tenses) giữa thì Quá khứ đơn và Quá khứ tiếp diễn: Diễn tả hành động đang xảy ra (chia Quá khứ tiếp diễn) thì có hành động khác chen vào (chia Quá khứ đơn). Trong câu, hành động đang xảy ra là hành động lái xe, được chia quá khứ tiếp diễn “S + was/were + Ving”. Do chủ ngữ là danh từ số ít “man”, nên đáp án là “was driving”.
Dịch: Người đàn ông đang lái xe về nhà thì xe ô tô của anh ta bị hỏng.
Câu 13: B. communicate.
Giải thích: Sau động từ khuyết thiếu (Modal verbs) “can” cần một động từ nguyên thể Vo. Bốn phương án trong đề có nghĩa và loại từ cụ thể như sau:
-
A. communicative: (tính từ) giao tiếp, có tính chất giao tiếp.
-
B. communicate: (động từ) giao tiếp, truyền đạt thông tin.
-
C. communicatively: (trạng từ) một cách giao tiếp, có tính chất giao tiếp.
-
D. communication: (danh từ) sự giao tiếp, truyền đạt thông tin.
→ Vì vậy đáp án là “communicate”.
Dịch: Mặc dù các học sinh lớp tôi học tiếng Anh trong ba tháng, nhưng họ có thể giao tiếp một cách tự tin với người nước ngoài.
Câu 14: C. ∅ (no article).
Giải thích: “Africa” được sử dụng như một danh từ riêng để chỉ cả châu lục, không cần thiết phải sử dụng mạo từ trước nó.
Dịch: Chúng tôi đã du lịch đến gần như tất cả các điểm du lịch ở châu Phi.
Câu 15: C. taller than.
Giải thích: kiến thức so sánh hơn (Comparatives) với tính từ ngắn “S + tobe + short adj-er + than O”. Đồng thời trong câu đang đề cập đến chiều cao “meters tall”. Vì vậy, đáp án là C. taller than.
Dịch: Bình cao 1,80 mét và Linh cao 1,65 mét. Bình cao hơn Linh.
Câu 16-30

Câu 16: D. aren’t they.
Giải thích: kiến thức câu hỏi đuôi (Tag question): Do chủ ngữ là danh từ số nhiều chỉ người “her parents” và động từ chính là “are”. Do vậy, câu hỏi đuôi là “aren’t they”.
Dịch: Ba mẹ cô ấy đang làm việc trên nông trại, có phải không?
Câu 17: C. note down.
Giải thích: Bốn phương án cụm động từ lần lượt có nghĩa như sau:
-
A. call for: kêu gọi, yêu cầu.
-
B. go on: tiếp tục.
-
C. note down: ghi chú lại.
-
D. make up: tạo nên, bịa đặt.
Dựa vào ngữ cảnh câu được dịch sau đây, đáp án là “note down”.
Dịch: Giáo viên nước ngoài nói rất nhanh. Nga không thể ghi chú lại nội dung chính của bài học của thầy ấy.
Câu 18: D. article.
Giải thích: Bốn phương án từ vựng lần lượt có nghĩa như sau:
-
A. editor: biên tập viên.
-
B. documentary: phim tài liệu.
-
C. cartoon: hoạt hình.
-
D. article: bài báo.
Dựa vào ngữ cảnh câu được dịch sau đây, đáp án là “article”.
Dịch: Nhà báo đang nói về việc sẽ có một bài báo mới được xuất bản trên báo địa phương vào tuần sau.
Câu 19: B. for.
Giải thích: Cấu trúc : It + tobe + adj + (for sb) + to do sth (như thế nào cho ai khi làm gì). Vì vậy đáp án là “for”.
Dịch: Việc đi làm không khó đối với cô ấy vì văn phòng gần nhà cô ấy.
Câu 20: A. Offered.
Giải thích: Rút gọn mệnh đề trạng ngữ trong câu bị động khi hai mệnh đề đồng chủ ngữ. Động từ trong câu bị động (Be + V3/ed) ở MĐTN có thể được chuyển đổi thành dạng Being V3/ed hoặc V3/ed. Vì vậy, đáp án trong câu này chỉ có “Offered” hợp lệ.
Dịch: Được đề nghị một công việc ở một công ty nhỏ, anh ta từ chối và tiếp tục nộp đơn xin việc cho một công việc phù hợp hơn.
Câu 21: D. in a poke.
Giải thích: cụm “buy a pig in a poke” diễn tả hành động mua một thứ gì đó mà không chắc chắn về chất lượng.
Dịch: Trước khi quyết định mua chiếc xe ô tô đó, rất quan trọng rằng bạn nên xem xét nó một cách cẩn thận. Mua hú họa là một quyết định không khôn ngoan.
Câu 22: B. habit.
Giải thích: cụm “break the habit” là từ bỏ một thói quen xấu.
Dịch: Nam đang cố gắng từ bỏ thói quen thức khuya.
Câu 23: A. to come.
Giải thích: cấu trúc “S + promise + to-V”.
Dịch: Cô ấy đã hứa sẽ đến dự tiệc sinh nhật của tôi, nhưng cô ấy không đến.
Câu 24: D. delegate.
Giải thích: “To delegate power to somebody” có nghĩa là ủy quyền cho ai.
Dịch: Thường thì giám đốc không ủy quyền lực cho quản lý tài chính của mình để đưa ra quyết định tài chính cho công ty.
Câu 25: A. as soon as we have the interview result.
Giải thích: Sự phối hợp thì (Sequence Of Tenses) giữa thì Hiện tại đơn và Tương lai đơn. Cấu trúc “S + will + Vo + as soon as + S + Vo/s/es”, do vậy sau as soon as, động từ chia thì hiện tại đơn. Đáp án là A.
Dịch: Chúng tôi sẽ thông báo cho bạn ngay khi chúng tôi có kết quả phỏng vấn.
Đánh dấu chữ cái A, B, C hoặc D để chỉ ra đáp án hoàn chỉnh nhất khi kết hợp hai câu sau đây thành một câu.
Câu 26: D. Barely had the boy band finished their first live performance when all the audiences at the theatre gave them a loud round of applause.
Giải thích: Cấu trúc đảo ngữ “Barely + trợ động từ + S + Vo”, dùng để diễn tả một hành động vừa hoàn thành thì một hành động khác xảy ra ngay sau đó.
Dịch:
Câu hỏi: Ban nhạc nam vừa mới hoàn thành buổi biểu diễn trực tiếp đầu tiên của họ. Tất cả khán giả trong nhà hát đã vỗ tay nhiệt tình chào đón họ.
→ Đáp án D: Vừa mới kết thúc buổi biểu diễn trực tiếp đầu tiên, ban nhạc nam đã nhận được một vòng vỗ tay nồng nhiệt từ tất cả khán giả trong nhà hát.
Câu 27: B. If the gold ring had been less expensive, I could have afforded to buy it.
Giải thích: kiến thức câu điều kiện loại 3 dùng để chỉ những hành động không thể xảy ra, trái ngược với thực tế trong quá khứ. Cấu trúc “If + S1 + had + PII, S2 + would/could + have + PII”.
Dịch: Nếu chiếc nhẫn vàng rẻ hơn thì tôi có thể đủ khả năng để mua nó.
Đánh dấu chữ cái A, B, C hoặc D để chỉ ra câu có ý nghĩa gần nhất với mỗi câu hỏi sau đây.
Câu 28: A. Mark has learned Spanish for seven years.
Giải thích: Cấu trúc viết lại câu với thì hiện tại hoàn thành.
“S + have/has + PII + for + khoảng thời gian = S + started + Ving + khoảng thời gian + ago”, để diễn đạt ai đó đã làm gì trong bao lâu.
Dịch:
Câu hỏi: Mark bắt đầu học tiếng Tây Ban Nha bảy năm tước.
→ Đáp án A: Mark đã học tiếng Tây Ban Nha trong bảy năm.
Câu 29: D. The teacher said she had helped the old lady cross the road.
Giải thích: Kiến thức Câu gián tiếp (Indirect speech) dạng trần thuật. Lưu ý: lùi thì động từ từ quá khứ đơn “ helped” thành quá khứ hoàn thành “had helped”, đổi đại từ nhân xưng “I” thành “she”.
Dịch:
Câu hỏi: Cô giáo nói: “Tôi đã giúp bà cụ qua đường”.
Đáp án D: Cô giáo nói rằng cô ấy đã giúp bà cụ qua đường.
Câu 30: C. Students mustn’t bring food into the computer room.
Giải thích: kiến thức Động từ khuyết thiếu (Modal verbs). Cấu trúc “ S + tobe + not + allowed to V = S mustn’t + Vo”: ai đó bị cấm không được làm gì.
Dịch:
Câu hỏi: Học sinh không được cho phép mang thức ăn vào phòng máy tính.
→ Đáp án C: Học sinh không được mang thức ăn vào phòng máy tính.
Câu 31-39

Đánh dấu chữ cái A, B, C hoặc D để chỉ ra phần được gạch chân cần sửa trong mỗi câu hỏi sau đây.
Câu 31: B. distinctive hoặc C. comparative.
Giải thích: “distinctive” là đặc trưng, điển hình không đi với “from”. Cách dùng đúng “distinct from”. Với cụm “comparative group” đang dùng sai thuật ngữ, cách dùng đúng là “comparision group”.
Dịch: Nghiên cứu tiên phong của họ cho thấy động cơ học tập của hai nhóm người học khá khác biệt với nhau, và nhóm thí nghiệm, với những người có động cơ học tập mạnh mẽ hơn, đạt kết quả học tập tốt hơn nhóm đối chứng.
Câu 32: C. them.
Giải thích: them ở đây đang chỉ “the old painting” tuy nhiên danh từ này là danh từ số ít vì vậy, từ thay thế phải là “it”.
Dịch: Người đàn ông đã mua bức tranh cũ và sau đó bán lại cho một người sưu tập với giá cao hơn.
Câu 33: A. give.
Giải thích: câu đang diễn tả hành động đã xảy ra trong quá khứ (dấu hiệu nhận biết “last week”), vì vậy động từ cần chia ở thì Quá khứ đơn thành “gave”.
Dịch: Họ đã thực hiện một buổi thuyết trình tốt về cách thức áp dụng một lối sống xanh vào tuần trước.
Luyện tập thêm: Dạng bài tìm lỗi sai trong câu tiếng Anh THPT Quốc gia.
Đọc đoạn văn sau và đánh dấu chữ cái A, B, C hoặc D để chỉ ra từ hoặc cụm từ chính xác nhất điền vào mỗi chỗ trống từ số 26 đến 30.
Câu 34: B. which.
Giải thích: kiến thức mệnh đề quan hệ (Relative clause). Vị trí ô trống cần một đại từ quan hệ cho danh từ chỉ sự vật/ sự việc “their work experience”, vì vậy đáp án là “which”.
Dịch: Các nhà tuyển dụng trong tương lai thích biết về kinh nghiệm làm việc của họ, điều mà họ cho là quan trọng trong quá trình tuyển dụng nhân viên.
Câu 35: B. many.
Giải thích: many + danh từ số nhiều (posibilities). Trong khi đó:
-
A. each + danh từ số ít: từng cái gì
-
C. none of the + danh từ đếm được số nhiều/ danh từ không đếm được
-
D. one + danh từ số ít
Do vậy, sử dụng kiến thức về “many” và biện pháp loại trừ, ta chọn đáp án B.
Dịch: Và các bạn trẻ có cơ hội xem xét nhiều khả năng cho một sự nghiệp trong tương lai với các chuyên gia làm việc.
Câu 36: D. make.
Giải thích: collocation “ make a choice/ make choices”: lựa chọn.
Dịch: Hơn nữa, họ sẽ thấy lời khuyên của những chuyên gia này đặc biệt hữu ích khi suy nghĩ về những lựa chọn khác nhau mà họ sẽ phải đưa ra.
Câu 37: C. but.
Giải thích: but + S + V, mang nghĩa là nhưng.
Dịch: Kinh nghiệm làm việc thường liên quan đến những tình huống không thoải mái, nhưng những người đang gặp phải những tình huống như vậy có thể học cách cư xử phù hợp trước khách hàng và làm thế nào để đáp ứng các tình huống trong môi trường làm việc.
Câu 38: C. demanding.
Giải thích: demanding (adj): đòi hỏi, khắt khe.
Dịch: Ngoại hình cũng quan trọng và họ cần mặc phù hợp cho công việc, cho dù đó là công việc như kỹ sư hay chuyên gia công nghệ thông tin, hoặc công việc có thể không kỹ thuật nhưng đòi hỏi tương đương như bác sĩ hay giáo viên.
Đọc đoạn văn sau đây và chọn đáp án đúng A, B, C hoặc D để chỉ ra câu trả lời đúng cho từng câu hỏi từ 39 đến 43.
Câu 39: B. the impact of device-centred communication.
Giải thích: Đoạn văn trình bày về tác động của giao tiếp tập trung vào thiết bị. Nó cho biết rằng việc sử dụng các thiết bị di động và mạng xã hội đã trở nên phổ biến và phát triển trong suốt hai mươi năm qua. Nhiều người sở hữu điện thoại di động và giao tiếp thông qua mạng xã hội. Tuy nhiên, đoạn văn cũng nhấn mạnh rằng giao tiếp qua thiết bị không thể thay thế giao tiếp trực tiếp với người khác. Việc sử dụng thiết bị có thể ảnh hưởng tiêu cực đến cách mọi người tương tác hàng ngày. Do đó, đáp án B. tác động của giao tiếp tập trung vào thiết bị là phù hợp với nội dung chính của đoạn văn.
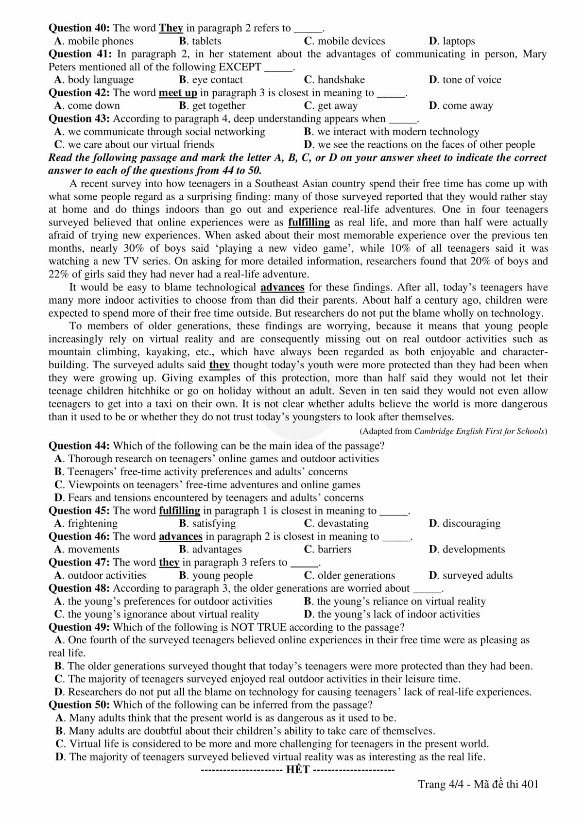
Câu 40-50

Câu 40: C. mobile devices.
Giải thích: Từ “They” trong đoạn văn 2 ám chỉ đến “mobile devices”. Điều này bởi vì câu trước đó đã đề cập đến “mobile phones, laptops, and tablets” như là các ví dụ về các thiết bị di động.
Câu 41: C. handshake.
Giải thích: Trong đoạn văn 2, Mary Peters đã đề cập đến tất cả các lợi ích sau đây của việc giao tiếp trực tiếp: ngôn ngữ cơ thể, ánh mắt và giọng nói. Tùy chọn không được đề cập đến đó là C. bắt tay.
Câu 42: B. get together.
Giải thích: Từ “meet up” trong đoạn văn 3 có ý nghĩa gần nhất là “get together”. Điều này có nghĩa là tập hợp hoặc tụ tập tại một nơi.
Câu 43: D. we see the reactions on the faces of other people.
Giải thích: Theo đoạn văn 4, sự hiểu biết sâu sắc xuất hiện khi “chúng ta nhìn thấy những phản ứng trên khuôn mặt của người khác.” Điều này cho thấy rằng biểu hiện khuôn mặt và gợi ý phi ngôn ngữ đóng một vai trò quan trọng trong việc hiểu người khác ở một cấp độ sâu sắc hơn.
Tham khảo thêm: Cách làm bài đọc hiểu tiếng Anh THPT Quốc gia đạt điểm cao.
Đọc đoạn văn sau đây và chọn đáp án đúng A, B, C hoặc D để chỉ ra câu trả lời đúng cho từng câu hỏi từ 44 đến 50.
Câu 44: B. Teenagers’ free-time activity preferences and adults’ concerns.
Giải thích: Ý chính của đoạn văn là B. Sở thích hoạt động giải trí trong thời gian rảnh của thanh thiếu niên và những lo ngại của người lớn. Đoạn văn đề cập đến việc nhiều thanh thiếu niên thích các hoạt động trong nhà hơn là những cuộc phiêu lưu ngoài trời, và nó khám phá những lo ngại của người lớn về sự phụ thuộc ngày càng tăng vào thực tế ảo và tác động tiềm năng đối với trải nghiệm thực tế.
Câu 45: B. satisfying.
Giải thích: Từ “fulfilling” trong đoạn 1 có nghĩa gần nhất là B. satisfying. Nó ngụ ý rằng một số thanh thiếu niên cảm thấy trải nghiệm trực tuyến làm hài lòng như những trải nghiệm trong cuộc sống thực.
Câu 46: D. developments.
Giải thích: Từ “advances” trong đoạn 2 có nghĩa gần nhất là D. developments. Nó chỉ sự tiến bộ và cải tiến trong công nghệ đã mang đến cho thanh thiếu niên nhiều hoạt động trong nhà để lựa chọn.
Câu 47: D. surveyed adults.
Giải thích: Từ “they” trong đoạn 3 chỉ đến B. thanh thiếu niên. Nó đại diện cho chủ ngữ của câu và ám chỉ đến những thanh thiếu niên được đề cập trong câu trước đó.
Câu 48: B. the young’s reliance on virtual reality.
Giải thích: Theo đoạn 3, những thế hệ lớn tuổi lo lắng về B. sự phụ thuộc của thanh thiếu niên vào thực tế ảo. Đoạn văn đề cập đến việc những thế hệ lớn tuổi quan ngại về việc thanh thiếu niên phụ thuộc nhiều hơn vào thực tế ảo và bỏ lỡ những hoạt động ngoài trời thực tế.
Câu 49: C. The majority of teenagers surveyed enjoyed real outdoor activities in their leisure time.
Giải thích: Tuyên bố không đúng theo đoạn văn là C. Đa số thanh thiếu niên thích các hoạt động ngoài trời thực tế trong thời gian rảnh của họ. Đoạn văn nêu rõ rằng 20% nam thanh thiếu niên và 22% nữ thanh thiếu niên cho biết họ chưa từng có cuộc phiêu lưu thực tế.
Câu 50: B. Many adults are doubtful about their children’s ability to take care of themselves.
Giải thích: Từ đoạn văn, có thể suy ra rằng B. Nhiều người lớn hoài nghi về khả năng của con cái họ tự chăm sóc bản thân. Điều này được ngụ ý qua các ví dụ cho thấy người lớn không cho phép con cái thanh thiếu niên của họ đi tramp xe hay đi nghỉ mà không có người lớn đi cùng, và thậm chí không cho phép họ đi taxi một mình.
Tổng kết
Trên đây, tác giả đã trình bày cách giải đề tiếng Anh THPT Quốc gia 2023 chi tiết và chính xác nhất. Hy vọng đây sẽ là nguồn tài liệu đáng hữu dụng, giúp người học trong quá trình ôn luyện cho kỳ thi tiếng Anh THPT Quốc gia 2024.
Ôn tập thêm:
-
13 chuyên đề ngữ pháp Tiếng Anh ôn thi THPT Quốc gia
-
Từ vựng tiếng Anh thi THPT Quốc Gia – Cơ bản
-
Từ vựng tiếng Anh luyện thi THPT Quốc gia – Nâng cao và mở rộng
