Với mục đích chia sẻ những kiến thức cơ bản về đạo hàm cho các em học sinh có thể dễ dàng ôn lại những công thức đã được học một cách đơn giản nhất. Bài viết này, chúng tôi sẽ cung cấp tới các bạn đọc về công thức tính đạo hàm trong môn Toán từ cơ bản đến nâng cao đầy đủ nhất.
Đinh nghĩa cơ bản nhất về đạo hàm
Đạo hàm là gì? Đó chính là tỉ số giữa số gia của hàm số và số gia của đối số tại điểm Xο. Giá trị của đạo hàm thể hiện chiều và độ lớn của biến thiên của hàm số.
Cho hàm số y = f(x) xác định trên khoảng (a,b) với Xο ∈ (a,b) thì giới hạn hữu hàn của tỉ số là ƒ(X) – ƒ(Xο) ⁄ X – Xο khi X → Xο được gọi là đạo hàm của hàm số tại Xο. Ký hiệu: f’(Xο).
Nếu đặt X – Xο = Δx và Δy = ƒ(Xο + Δx) – ƒ(Xο) ta có:
Khi đó Δx gọi là số gia của đối số tại Xο, Δy là số gia tương ứng của hàm số.
Quy tắc cơ bản của đạo hàm

Công thức tính đạo hàm của các hàm số cơ bản thường gặp

Công thức tính đạo hàm các hàm lượng giác
Hàm số y = sin x sẽ có đạo hàm tại mọi x ∈ R, (sin x)’ = cos x. Nếu y = sin u với u= u(x) thì ta có (sin x)’ = u’ . cos u.
Hàm số y = cos x sẽ có đạo hàm tại mọi x ∈ R, (cos x)’ = – sin x. Nếu y = cos u với u= u(x) thì ta có (cos x)’ = – u’ . sin u.
Hàm số y= tan x có đạo hàm tại mọi x ≠ π / 2 + kπ ∈ R, (tan x)’ = (sin x / cos x)’ = cos²x + sin²x / cos²x = 1/ cos²x = sec²x. Nếu y= tan u với u = u(x) thì ta có (tan x)’ = u’ / cos²u.
Hàm số y= cot x có đạo hàm tại mọi x ≠ kπ ∈ R, (cot x)’ = (cos x / sin x )’ = – + sin²x – cos²x / sin²x = 1/ sin²x. Nếu y= cot u với u = u(x) thì ta có (cot x)’ = u’ / sin²u.
Công thức tính đạo hàm lượng giác ngược
Hàm lượng giác ngược của sin (x), cos (x), tan (x), cot (x) được viết theo 2 cách sau: sin‾ ¹(x), cos‾ ¹(x), tan ¹(x), cot‾ ¹(x) hoặc arcsin(x), arccos(x), arctan(x), arccot(x).
Ta có đạo hàm lượng giác ngược như sau:
y = arcsin(x) có đạo hàm y’ = 1 / √(1 – x²)
y = arccos(x) có đạo hàm y’ = – 1 / √(1 – x²)
y = arctan(x) có đạo hàm y’ = 1 / (1 + x²)
y = arccot(x) có đạo hàm y’ = – 1 / (1 + x²)
y = arcsec(x) có đạo hàm y’ = 1 / IxI √( x² – 1)
y = arccsc(x) có đạo hàm y’ = – 1 / IxI √( x² – 1)
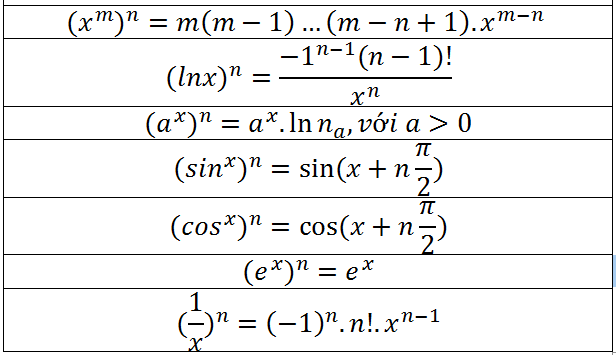
Công thức đạo hàm cấp cao
Đạo hàm cấp cao là gì? Chúng ta sẽ hiểu theo một cách đơn giản như sau:
Giả sử hàm số y= f(x) thì sẽ có đạm hàm là f’(x) khi đó:
– Đạo hàm của hàm số f’(x) được gọi là đạo hàm cấp hai của hàm số f(x), ký hiêu: f’’(x) hay y’’
– Đạo hàm của hàm số f’’(x) được gọi là đạo hàm cấp bacủa hàm số f(x), ký hiêu: f’’’(x) hay y’’’
– Tường tự, đạo hàm của đạo hàm cấp n-1 sẽ gọi là đạo hàm cấp n của hàm số f(x).
Bảng công thức đạo hàm cấp cao thường gặp

Như vậy là các em đã được bổ sung lại những kiến thức cơ bản đến nâng cao về công thức tính đạo hàm trong chương trình ôn thi đại học toán lớp 12 thông qua bảng công thức ở trên đây. Các bạn có thể xem thêm các dạng bài tập và kiến thức khác tại website timdiemthi.com
