1. Benzen là gì?
Đầu tiên, chúng ta hãy cùng đi vào tìm hiểu hợp chất hữu cơ benzen là gì? Về cơ bản, Benzen được biết đến là một hidrocacbon thơm, lỏng, không có màu và cũng không tan trong nước. Khối lượng riêng của benzen nhẹ hơn so với nước. Benzen dễ dàng được hòa tan trong trong dầu khoáng, dầu động, thực vật, dung môi hữu cơ,… đặc biệt là cao su, nhựa đường, nhựa than, mỡ, sơn, vecni, hắc ín,…
Hợp chất hữu cơ benzen có thể đóng vai trò là dung môi hòa tan được nhiều chất khác nữa như: cao su, iot, dầu ăn, nến,… Benzen tuy có mùi thơm nhẹ nhưng lại rất gây hại đối với sức khỏe con người.
Trong công nghiệp, benzen là nguyên liệu được sử dụng để tổng hợp ra rất nhiều hợp chất hữu cơ khác nhau như aniline, clo benzen, nitrobenzen, phenol,… hoặc sử dụng làm dung môi hòa tan chất mỡ.
Tuy nhiên, benzen đã bị hạn chế sử dụng trong công nghiệp từ những năm 70 của thế kỷ XX. Tại Việt Nam, việc nghiêm cấm sử dụng benzen trong công nghiệp đã được quy định tại số 108 LB/QĐ.
2. Công thức tổng quát của benzen
2.1. Cấu tạo phân tử của benzen
Benzen (C6H6) cấu tạo gồm 6 nguyên tử C. 6 nguyên tử này trong phân tử benzen đều ở trạng thái lai hóa sp2 (lai hóa tam giác).
Mỗi nguyên tử C dùng 3 obitan lai hóa để tạo liên kết σ với 2 nguyên tử C ở bên cạnh nó và tạo liên kết với 11 nguyên tử H.
6 obitan p còn lại của 6 nguyên tử C tạo nên cấu trúc xen phủ bên với nhau tạo thành hệ liên hợp π chung cho cả vòng benzen đó. Nhờ vậy mà liên kết π ở benzen được cho là tương đối bền vững hơn so với liên kết π ở anken cũng như liên kết π ở các hidrocacbon không no khác.
Mô hình phân tử của benzen dạng đặc và rỗng như sau:

Biểu diễn công thức cấu tạo dạng rút gọn của Benzen:

2.2. Benzen và đồng đẳng
Benzen C6H6 và các hidrocacbon thơm khác có công thức phân tử chung là CnH2n-6 (n ≥ 6) ví dụ như C7H8 (toluen), C8H10,… lập thành một dãy đồng đẳng. C7H8 (toluen), C8H10 vừa là 2 hidrocacbon đứng đầu (không tính số 1 là benzen) vừa là 2 đồng đẳng gặp nhiều nhất của benzen trong chương trình hóa học lớp 11.
Tên gọi chung của dãy đồng đẳng benzen là aren.
Công thức đơn giản nhất trong dãy đồng đẳng là benzen (C6H6).
Các ankyl benzen thường được gặp là toluen C6H5CH3, xilen C6H4(CH3)2, cumen C6H5CH(CH3)2,…
Tham khảo ngay tài liệu tổng hợp kiến thức và phương pháp giải mọi dạng bài tập trong đề thi Hóa THPT Quốc gia

3. Cách gọi tên (danh pháp) đồng đẳng, đồng phân của benzen
Khi thay thế các nguyên tử hidro trong phân tử benzen C6H6 bằng các nhóm ankyl khác nhau, ta thu được các chất hữu cơ ankyl benzen khác nhau, có công thức chung là CnH2n-6 với điều kiện n ≥ 6, ví dụ như C6H5CH3, C6H5CH2CH2CH3, C6H5CH2CH3,…
Nếu coi vòng benzen là mạch chính thì các nhóm ankyl đính vào nó chính là mạch nhánh, hay còn được gọi là nhóm thế. Các ankyl benzen có đồng phân mạch cacbon và tên gọi của chúng được người ta gọi theo vị trí của các nguyên tử C của vòng bằng các kí hiệu bằng chữ cái o (ortho), m (meta), p (para) hoặc chữ số.
– Tên gọi: Tên vị trí – tên nhánh + benzen
Đồng phân của benzen gồm 2 loại là đồng phân vị trí nhóm ankyl trong cấu trúc vòng benzen và đồng phân mạch cacbon của mạch nhánh.
+ Nếu 2 nhóm thế ở vị trí 2 C ngay cạnh nhau ta thu được đồng phân ortho (viết tắt là o-) và C chứa 2 nhóm thế đó được đánh số lần lượt là 1, 2.
+ Nếu 2 nhóm thế ở vị trí cách nhau 1 nguyên tử C (1 đỉnh tam giác) ta thu được đồng phân meta (viết tắt là m-) và C chứa 2 nhóm thế đó được đánh số lần lượt là 1, 3.
+ Nếu 2 nhóm thế ở vị trí 2 nguyên tử cacbon đối đỉnh với nhau (cách nhau 2 nguyên tử C) ta thu được đồng phân para (viết tắt là p-) và C chứa 2 nhóm thế đó được đánh số lần lượt là 1, 4.
Từ C8H10 trở đi có các đồng phân về vị trí tương đối của các nhóm ankyl xung quanh vòng benzen và về cấu tạo mạch cacbon của mạch nhánh.
Một số ví dụ về cách gọi tên một số đồng đẳng, đồng phân của Benzen

4. Tính chất vật lý của benzen và đồng đẳng
Các hidrocacbon thơm ở điều kiện thường tồn tại ở dạng chất lỏng rất linh động hoặc ở dạng rắn ở những đồng đẳng cao hơn, chúng có nhiệt độ sôi tăng theo chiều tăng của khối lượng phân tử .
Đối với các hidrocacbon thơm tồn tại ở thể lỏng có mùi thơm đặc trưng, cũng vì lý do đó mà hợp chất hữu cơ dạng vòng có tên gọi là hidrocacbon thơm.
Hidrocacbon thơm có khối lượng riêng nhẹ hơn so với nước, không tan trong nước nhưng lại tan nhiều trong các dung môi hữu cơ như chất béo, aceton, rượu, ete,… Benzen (C6H6) chính là một ví dụ điển hình của tính chất vật lí của hidrocacbon thơm.
5. Tính chất hóa học của benzen và đồng đẳng
5.1. Phản ứng thế của benzen và đồng đẳng
a. Thế nguyên tử H của vòng benzen
Benzen phản ứng với halogen: benzen + Br2
-
Cho benzen và brom vào một ống nghiệm khô rồi lắc nhẹ ống nghiệm.
-
Bổ sung vào thêm một ít bột Fe vào ống nghiệm trên và tiến hành lắc nhẹ. Ta thấy màu của brom nhạt dần và thấy có khí hidro bromua thoát ra do đã xảy ra phản ứng thế:
-
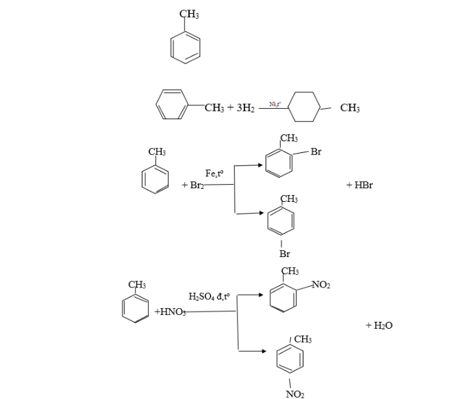
Nếu cho các ankylbenzen phản ứng với brom trong điều kiện có bột sắt sẽ thu được hỗn hợp sản phẩm thế brom chủ yếu vào vị trí para (p-) và ortho (o-) so với nhóm ankyl:
Benzen phản ứng với axit nitric: Benzen + HNO3
-
Cho benzen vào trong một ống nghiệm đã có chứa sẵn hỗn hợp HNO3 đặc và H2SO4 đặc. Khi đó chúng ta sẽ thấy có lớp chất lỏng nặng màu vàng nhạt lắng xuống. Chất lỏng đó chính là nitrobenzen được tạo thành theo phản ứng sau:

Quy tắc thế: Các ankyl benzen dễ tham gia phản ứng thế nguyên tử H của vòng benzen hơn benzen và sự thế ưu tiên ở vị trí ortho (o-) và para (p-) so với nhóm ankyl.
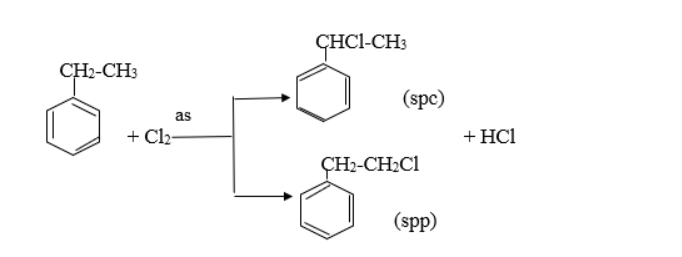
b) Thế nguyên tử H ở mạch nhánh
Khi đun toluen hoặc các ankylbenzen với brom sẽ xảy ra phản ứng thế nguyên tử H của mạch nhánh tương tự như đối với ankan.
VD: Toluen phản ứng với Brom tạo ra Benzyl bromua:
Đăng ký ngay để được các thầy cô tư vấn và xây dựng lộ trình học tập nắm chắc kiến thức lớp 10 – 11

5.2. Phản ứng cộng
a) Benzen xảy ra phản ứng cộng với hidro: Benzen + H2
C6H6 + 3 H2
C6H12 (xiclohexan)

b) Benzen phản ứng cộng với clo: Benzen + Cl2
Dẫn một lượng nhỏ khí Clo vào bình chứa một ít benzen, đậy kín lại và đưa bình ra ngoài ánh nắng. Quan sát thấy trong bình xuất hiện khói trắng, thành bình xuất hiện một lớp bột màu trắng, đó là chất 1,2,3,4,5,6-hexa clo xiclohexan (hexacloran).
Phương trình phản ứng:
C6H6 + 3 Cl2
C6H6Cl6 (hexacloran)

5.3. Phản ứng oxi hóa
a) Phản ứng oxi hoá không hoàn toàn của benzen và đồng đẳng của benzen
Thí nghiệm:
-
Trong điều kiện thường, benzen và toluen không làm mất màu dung dịch KMnO4.

-
Khi đun nóng cùng lúc cả hai ống nghiệm trong nồi đun cách thuỷ:
-
Benzen không gây mất màu dung dịch kali pemanganat KMnO4.
-
Toluen gây mất màu dung dịch kali pemanganat, tạo ra kết tủa mangan đioxit MnO2.
C6H5-CH3 (toluen) + KMnO4 C6H5-COOK (kali benzoat) + 2MnO2↓ + KOH + H2O

b) Phản ứng oxi hoá hoàn toàn benzen và đồng đẳng của benzen
Các hiđrocacbon thơm khi cháy tỏa nhiều nhiệt theo phương trình tổng quát sau:
CnH2n-6 + $frac{3n – 3}{2}$ O2
nCO2 + (n – 3) H2O
→ Nhận xét: số mol CO2 luôn luôn lớn hơn số mol H2O
6. Điều chế và ứng dụng của benzen
6.1. Điều chế benzen

Cách phổ biến nhất để điều chế ra Benzen là chưng cất từ dầu mỏ và nhựa than đá. Ngoài ra, chúng còn được điều chế từ các ankan hoặc xicloankan. Phương trình phản ứng điều chế như sau:

6.2. Ứng dụng
Benzen là một trong những nguyên liệu quan trọng nhất của nền công nghiệp hóa hữu cơ. Nó được ứng dụng trong sản xuất polime làm chất dẻo, cao su, tơ sợi (ví dụ như polistiren, cao su buna-stiren hoặc tơ capron).
Benzen, toluen và các xilen cũng thường được dùng để làm môi trường hoà tan các chất như mỡ, cao su, vecni. Benzen còn được dùng trong tẩy mỡ ở xương, da sợi, len, vải, dạ, tẩy mỡ, lau khô, các tấm kim loại. Bên cạnh đó các dụng cụ có chất mỡ bám bẩn cũng được tẩy bằng benzen.
Từ benzen người ta điều chế ra các chất khác ví dụ như sản xuất cumen, axeton, phenol; điều chế nitrobenzen, anilin, phenol; dùng trong tổng hợp phẩm nhuộm, dược phẩm, thuốc trừ dịch hại,…
Toluen được dùng để chế tạo thuốc nổ TNT (trinitrotoluen).

7. Một số bài tập về benzen và đồng đẳng của benzen (có lời giải)
Bài tập 1: Hiđrocacbon X là một chất lỏng và có tỉ khối hơi so với không khí bằng 3,17. Đốt cháy hoàn toàn hidrocacbon X thu được CO2 có khối lượng bằng 4,28 lần khối lượng của nước. Ở nhiệt độ thường, X không gây mất màu dung dịch brom nhưng khi đun nóng (có xúc tác nhiệt độ), X làm mất màu KMnO4.
a. Hãy tìm công thức phân tử và trình bày công thức cấu tạo của X?
b. Viết các phương trình hoá học phản ứng giữa X với H2 (có xúc tác Ni, đun nóng); với brom (có xúc tác bột Fe); với hỗn hợp axit HNO3 và axit H2SO4 đậm đặc dư.
Đáp án hướng dẫn giải chi tiết:
a. Gọi CTPT của X là CxHy:
Ta có: MX = 3,17. 29 = 92 ⇒ 12x + y = 92 (1)

mCO2 = 4,28mH2O ↔ 44x = 4,28. 18. (y/2) ⇒ y = 1,14x (2)
Từ (1) và (2) ⇒ x = 7, y = 8. CTPT của X là C7H8.
b.
Bài tập 2: Khi thực hiện phản ứng tách hidro của 66,25 kg etylbenzen thu được 52,00 kg stiren. Tiến hành phản ứng trùng hợp toàn bộ lượng stiren này ta được hỗn hợp A gồm có polistiren và cả phần stiren chưa tham gia phản ứng. Biết 5,20 gam hỗn hợp A vừa đủ làm mất màu của 60,00 ml dung dịch brom 0,15M.
a. Hãy tính hiệu suất phản ứng tách hidro của etylbenzen.
b. Tính khối lượng stiren được trùng hợp.
c. Phân tử khối trung bình của Polistiren bằng 3,12.105. Hãy tính hệ số trùng hợp trung bình của polime.
Đáp án hướng dẫn giải chi tiết:
nBr2 = 0,06.0,15 = 0,009(mol)
Theo định luật bảo toàn khối lượng: mA = mstiren = 52,00 (kg) = 52.103 (g)
Theo đề bài ta có: 5,2 g hỗn hợp A tác dụng vừa đủ với 0,009 mol Br2
⇒ 52.103g hỗn hợp A sẽ tác dụng vừa đủ với 90 mol Br2
Theo (3): nstiren = nBr2 = 90(mol)
mstiren = 90.104 = 9360(g) = 9,36(kg)
Khối lượng stiren đã tham gia phản ứng trùng hợp = mA – mstiren = 52 – 9,36 = 42,64 (kg)
c. Hệ số trùng hợp là: $n=frac{312000}{104}=3000$
Bài tập 3: Trình bày những đặc điểm giống và khác nhau giữa tính chất hoá học của stiren với etylbenzen. Viết phương trình hoá học để minh họa phản ứng này.
Đáp án hướng dẫn giải chi tiết:
Tính chất hóa học etylbenzen với stiren có những điểm giống và khác nhau như sau:
Giống nhau:
-
Cả etylbenzen với stiren đều xảy ra phản ứng thế:
Khác nhau:
-
Etylbenzen có tính chất giống với ankan:
Stiren có tính chất giống với anken:
Trên đây là toàn bộ những thông tin cần thiết liên quan đến lý thuyết của benzen và các đồng đẳng của benzen cũng như một số bài tập. Đây là một phần nội dung rất quan trọng trong chương trình ôn thi đại học và đòi hỏi các em phải nắm vững. Mong rằng từ các phần phân tích trên, các em sẽ có thể xây dựng sổ tay kiến thức của riêng mình. Chúc các em ôn tập tốt. Ngoài ra, em có thể truy cập ngay vào trang web Vuihoc.vn để được nhận thêm nhiều bài giảng hoặc liên hệ trung tâm hỗ trợ để được hướng dẫn thêm nhé!
Tham khảo thêm:
⭐Bộ Sách Thần Tốc Luyện Đề Toán – Lý – Hóa THPT Có Giải Chi Tiết
