Bài tập đạo hàm nâng cao có khó không?
Đạo hàm là một trong những kiến thức căn bản trong phần đại số của THPT. Ngoài những kiến thức cơ bản, đạo hàm nâng cao đạo hàm nâng cao cũng đang được nhiều học sinh lựa chọn. Bởi vì chúng thường xuất hiện hầu hết trong các đề thi, bài kiểm tra.

Vậy nên, với các dạng bài tập nâng cao về đạo hàm hay bất kỳ chương nào thì kiến thức chắc chắn khó hơn rất nhiều, vì chúng đòi hỏi phải áp dụng nhiều công thức và quy tắc mới có thể giải được.
Mặc dù khó nhưng không phải không có cách giải, chỉ cần các em nắm vững kiến thức cơ bản và áp dụng những tuyệt chuyên Monkey chia sẻ nội dung phần dưới đây thì học sinh sẽ dễ dàng chinh phục được.
Các dạng bài tập đạo hàm nâng cao dễ xuất hiện trong đề thi
Không chỉ đơn thuần là kiến thức quan trọng trong bộ môn toán lớp 11, 12 mà các kiến thức nâng cao trong chương đạo hàm còn là chuyên đề cơ bản để học sinh học tốt được những chuyên đề sau.
Vậy nên, khi học đạo hàm việc nắm công thức, học thuộc lòng kiến thức cơ bản thôi chưa đủ. Bên cạnh đó các em nên tìm hiểu những dạng bài tập về đạo hàm nâng cao để thử sức xem năng lực học của mình đến đâu.
Đặc biệt, trong những kỳ thi thì các dạng bài tập liên quan đến đạo hàm sẽ có sự thay đổi liên tục, nên học sinh cần nắm vững để đưa ra phương pháp giải phù hợp cho từng dạng bài. Dưới đây là những dạng bài thường gặp nhất để các em tham khảo:
Bài tập liên quan tới định nghĩa và ý nghĩa đạo hàm
Dạng 1. Tính đạo hàm bằng định nghĩa.

Dạng 2. Số gia của hàm số.

Dạng 3. Phương trình tiếp tuyến.

Bài tập dựa vào quy tắc tính đạo hàm
Dạng 1. Đạo hàm của hàm đa thức.

Dạng 2. Đạo hàm của hàm phân thức.

Dạng 3. Đạo hàm của hàm chứa căn.

Bài tập đạo hàm hàm số lượng giác
Dạng 1. Tính đạo hàm của các hàm số lượng giác.

Dạng 2. Tính đạo hàm tại một điểm.

Dạng 3. Giải phương trình f’(x) = 0.

Bài tập liên quan tới vi phân trong đạo hàm
Dạng 1. Tìm vi phân của hàm số y = f(x).

Dạng 2. Tính gần đúng giá trị của một biểu thức.

Bài tập đạo hàm nâng cao về đạo hàm cấp hai
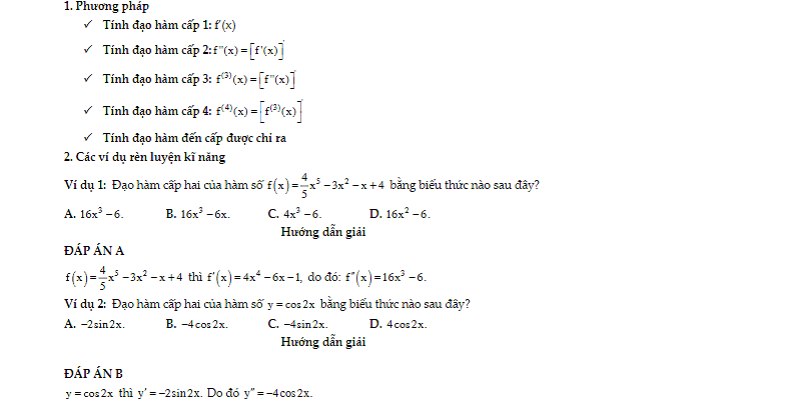
Dạng 1. Tính đạo hàm cấp cao của hàm số y = f(x).

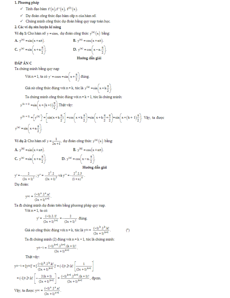
Dạng 2. Tìm đạo hàm cấp n của hàm số y = f(x).

Gợi ý một số bài tập đạo hàm nâng cao có lời giải để học sinh tự luyện
Dựa vào những dạng bài tập trên, dưới đây là một số bài tập thực hành để các em có thể tự luyện hiệu quả:

Làm thế nào để giải bài tập đạo hàm kiến thức nâng cao hiệu quả?
Như đã giải thích, bài tập đạo hàm nâng cao là dạng kiến thức khó nên để có thể chinh phục được chúng và dành được điểm khi làm bài kiểm tra, các em có thể áp dụng một số phương pháp sau:
Học thuộc công thức, quy tắc đạo hàm nghiêm túc
Chuyên đề đạo hàm ở kiến thức cơ bản đã khó, nên khi luyện nâng cao sẽ càng khó hơn. Vậy nên, việc nắm vững các định nghĩa, công thức, quy tắc đạo hàm cơ bản chính là nền tảng để làm bài tập nâng cao tốt hơn.
Khi học những kiến thức này, đòi hỏi các em cần phải đầu tư thời gian, sự tập trung một cách nghiêm túc. Khi học tránh trường hợp học vẹt mà không hiểu gì, bạn cứ sắp xếp chúng theo một nguyên tắc nhất định rồi kết hợp vận dụng chúng trong thực hành để ghi nhớ kiến thức tốt hơn.

Luyện tập đa dạng dạng bài tập đạo hàm từ cơ bản đến nâng cao
Nếu chỉ dừng lại ở việc học và ghi nhớ kiến thức lý thuyết thôi là chưa đủ. Nếu như bạn không đầu tư thời gian để luyện tập chúng thì cũng chỉ là “lý thuyết suông”.
Vậy nên, để làm được bài tập đạo hàm nâng cao, trước hết hãy cứ làm thuần thục, chính xác các bài tập cơ bản đầu tiên. Sau đó mới tiến hành nâng cấp với việc thử sức với các dạng toán nâng cao.
Ở đây, các em cũng nên chủ động tìm kiếm nhiều dạng bài tập của đạo hàm từ công thức, định nghĩa, tiếp tuyến đồ thị, đạo hàm cao cấp,… ở trên sách bài tập, sách toán cao cấp, bài tập thầy cô giao, các nguồn tài liệu trên internet, các mẫu đề thi…

Nắm rõ phần điều kiện khi tiến hành giải toán đạo hàm
Trong chương đạo hàm, có rất nhiều dạng toán nâng cao rất phức tạo. Điều mà các em cần phải nắm được khi làm bài tập này chính là các điều kiện để giải các phương trình.
Thông thường, ở các bài tập về đạo hàm thường có những vế điều kiện đi kèm. Nên các em hãy cứ bám sát vào điều kiện đó để tìm ra công thức và phương pháp giải phù hợp để không bỏ mất cơ hội đạt điểm ở câu hỏi đó.

Tự rút ra bài học kinh nghiệm cho mình khi học đạo hàm
Để chinh phục được các bài tập đạo hàm từ cơ bản đến nâng cao, ngoài việc nắm vững kiến thức lý thuyết, các phương pháp dạy của thầy cô. Trong quá trình học thì em có thể tham khảo thêm nhiều cách học từ bạn bè, những người đi trước hay từ chính bố mẹ của mình.
Đồng thời, việc làm bài tập thường xuyên cũng giúp các em tự rút ra được phương pháp giải cho riêng mình. Lưu ý, đừng quá lệ thuộc quá nhiều vào sách giải hay người dạy, mà hãy tự mình tự tìm kiếm kinh nghiệm riêng cho mình thông qua những lần làm bài tập dù sai hay đúng.
Bên cạnh đó, ở một số dạng bài tập đạo hàm sẽ có những mẹo tính toán nhanh. Vậy nên, hãy tìm hiểu để có thể giúp việc giải toán đạo hàm nhanh và hiệu quả hơn.

Kết luận
Trên đây là tổng hợp những thông tin giúp các em nắm được kiến thức về bài tập đạo hàm nâng cao. Vậy nên, hãy thử áp dụng để biết được năng lực bản thân đến đâu, cũng như dễ dàng đạt được điểm tuyệt đối ở chuyên đề toán này nhé.
