Sách bài tập Khoa học tự nhiên 7 Bài 5: Phân tử – đơn chất – hợp chất Bài 5.6 trang 20 sách bài tập KHTN 7: Trong các chất hóa học: Li, N2, CO, Cl2, S8, NaCl, chất nào là đơn chất, chất nào là hợp chất? Lời giải: Các đơn chất là: Li, […]
Category Archives: tổng hợp
a. Tạo 2 từ ghép có nghĩa phân loại, 2 từ ghép có nghĩa tổng hợp, 1 từ láy từ mỗi tiếng sau: nhỏ, sáng, lạnh. b. Tạo 1 từ ghép, 1 từ láy chỉ màu sắc từ mỗi tiếng sau: xanh, đỏ, trắng, vàng, đen. Bài 6: Cho các từ: mải miết, xa xôi, […]
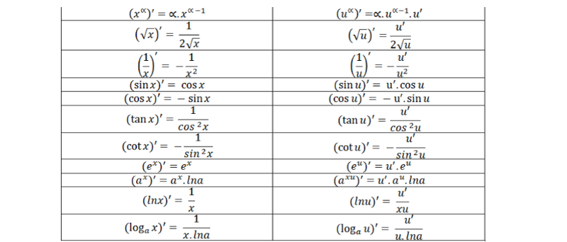
Đạo hàm 1/x là gì? Đạo hàm 1/x được biết đến là một trong những loại đạo hàm cơ bản thường gặp nhất. Đây chính là tỉ số giữa số gia tương ứng của một hàm số, cùng với đó sẽ là số gia của đối số tại một điểm X0. Giá trị tương ứng […]
Người Thái có cội nguồn ở vùng Đông Nam Á lục địa, tổ tiên xa xưa của người Thái có mặt ở Việt Nam từ rất sớm. Người Thái sớm đi vào nghề trồng lúa nước trong hệ thống thuỷ lợi thích hợp được đúc kế như một thành ngữ – “mương, phai, lái, lịn” […]
Câu hỏi 🗣️ Lê Văn Lộc hỏi: Cho mình hỏi một câu Các định luật bảo toàn – Cơ học chất lưu trong sách bài tập (A) nửa tích khối lượng và vận tốc (B) tích khối lượng và bình phương một nửa vận tốc (C) tích khối lượng và bình phương vận tốc (D) […]
Câu 1. Trong một tam giác vuông, kết luận nào sau đây là đúng ?A. Tổng hai góc nhọn bằng 180 0 B. Hai góc nhọn bằng nhauC. Hai góc nhọn phô nhau D. Hai góc nhọn kề nhau .Câu 2: Chọn câu trả lời đúng. Cho tam giác ABC có 00 A50;B60 thì C? […]
Phím Ctrl là gì ảnh hưởng đến quá trình thao tác văn bản và thực hiện các lệnh trên máy tính. Người dùng thường xuyên làm việc với văn bản cũng như muốn tiết kiệm thời gian khi sử dụng thiết bị thì có thể tìm hiểu tổ hợp phím này để thao tác nhanh […]
Việt Nam, với khí hậu nhiệt đới gió mùa đa dạng, sở hữu tiềm năng lớn cho phát triển nông nghiệp, đặc biệt là cây công nghiệp. Việc nắm rõ cây công nghiệp được trồng chủ yếu ở đâu không chỉ quan trọng với ngành nông nghiệp mà còn tác động sâu sắc đến thị […]
Nguồn: “What was the XYZ Affair?”, History.com (truy cập ngày 17/10/215). Biên dịch & Hiệu đính: Lê Hoàng Giang Có thể nghe như tên một chương trình giải trí của thiếu nhi, nhưng trên thực tế Sự kiện XYZ là một biến cố ngoại giao giữa Pháp và Mỹ xảy ra vào cuối thế kỷ […]
Để nói đến mối tương quan giữa người đóng thuế và người thu thuế thường có hai loại là thuế trực thu và thuế gián thu. Trong bài viết này, MISA MeInvoice sẽ giải đáp thuế trực thu là gì? Các loại thuế trực thu hiện hành và các quy định khác liên quan. Mời […]



![[Mới] Thuế trực thu là gì? Thuế trực thu gồm những loại thuế nào?](https://xemlicham.edu.vn/wp-content/uploads/2025/12/loai-the-nao-duoi-day-la-hinh-thuc-thue-truc-thu.jpg)