Phản ứng Fe2(SO4)3 + BaCl2 hay Fe2(SO4)3 ra FeCl3 hoặc BaCl2 ra BaSO4 thuộc loại phản ứng trao đổi đã được cân bằng chính xác và chi tiết nhất. Bên cạnh đó là một số bài tập có liên quan về Fe2(SO4)3 có lời giải, mời các bạn đón xem: Fe2(SO4)3 + 3BaCl2 → 2FeCl3 […]
Category Archives: chinh ta
Không ít người phân vân giữa hai từ ngang tàng hay ngang tàn đâu là từ đúng theo quy định chính tả.Trong tiếng Việt, việc sử dụng từ ngữ chính xác là vô cùng quan trọng để truyền đạt ý nghĩ một cách chính xác và hiệu quả. Truy cập ngay chuyên mục Canhsatchinhta để […]
Thuốc đắng là sản phẩm cần cho đời sống, lúc chúng ta đau ốm khi uống thuốc đều cảm nhận được vị đắng. Còn sự thật là những gì chân thật nhất ở đời. “Thuốc đắng dã tật, sự thật mất lòng” hay “Thuốc đắng đã tật, sự thật mất lòng” thường được dùng với […]
Bán kính đường tròn nội tiếp tam giác là kiến thức quan trọng trong chương trình Toán THCS và THPT. Bài viết này tổng hợp đầy đủ công thức tính bán kính đường tròn nội tiếp, cách tính bán kính đường tròn nội tiếp tam giác cho các loại tam giác thường, tam giác vuông, […]
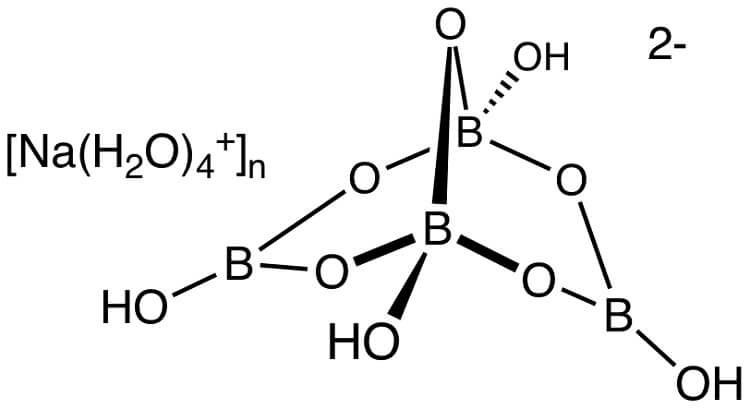
Hàn the (còn được gọi là natri borat) là một hợp chất hóa học có công thức Na2B4O7.10H2O. Hợp chất này có một số ứng dụng quan trọng trong nhiều ngành công nghiệp như mỹ phẩm, thực phẩm, gạch… Vậy nó thực chất là gì? Có tác dụng gì không? Nó có gây nguy hiểm […]
Dũa móng tay giấy Kềm Nghĩa – Bí quyết cho bộ móng đẹp tự nhiên Ngoài việc cắt tỉa gọn gàng, bạn cần phải thường xuyên dũa móng tay để tạo hình và làm mịn bề mặt móng. Dũa móng tay Kềm Nghĩa là một sản phẩm lý tưởng giúp bạn thực hiện điều đó […]
Lời chúc mừng sinh nhật cô dì chú bác là lời mà bạn muốn gửi tặng những người thân trong gia đình bạn bên cạnh những món quà mà bạn đã chuẩn bị. Vậy, với cô dì hay chú bác, bạn nên gửi lời chúc sinh nhật như thế nào? Hãy tham khảo những lời […]
Gia chủ sinh năm 2006 tuổi gì? Mệnh gì? Gia chủ sinh năm 2006 tuổi Bính Tuất, theo triết lý ngũ hành, họ có mệnh Thổ, cụ thể là Ốc Thượng Thổ và cung Chấn. Năm 2025, tuổi của người sinh năm 2006 là 20 tuổi (tính cả tuổi mụ). Tuổi Bính Tuất thường rất […]
Khoa học tự nhiên lớp 8 Bài 38: Môi trường và các nhân tố sinh thái Luyện tập trang 180 Khoa học tự nhiên 8: Kể tên các loại môi trường sống. Lấy ví dụ một số sinh vật sống trong môi trường theo mẫu bảng 38.1. Trả lời: Bảng 38.1. Môi trường sống và […]
1. Sự xác định đường tròn, tính chất đối xứng của đường tròn. b) Vị trí tương đối của một điểm đối với một đường tròn. Cho đường tròn (left( {O;R} right)) và điểm (M). +) (M) nằm trên đường tròn (left( {O;R} right) Leftrightarrow OM = R.) +) (M) nằm trong đường tròn (left( […]



